精英家教网 > 高中数学 > 题目详情
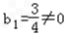
已知数列{an}是等差数列,a3=10,a6=22,数列{bn}的前n项和是Tn,且
(I)求数列{an}的通项公式;
(II)求证:数列{bn}是等比数列;
(III)记cn=abn,求证:cn+1<cn
(I)解:∵数列{an}是等差数列,a3=10,a6=22,
∴ 解得 a1=2,d=4.
∴an=2+(n﹣1)×4=4n﹣2.
(II)证明:由于 ,①
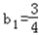
令n=1,得 ,解得 
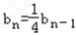
当n≥2时, ②
①﹣②得 , ∴ 
 ,∴ 
∴数列{bn}是以 为首项, 为公比的等比数列.
(III)证明:由(II)可得 .  
 
∴ 
∵n≥1,故cn+1﹣cn<0, ∴cn+1<cn
练习册系列答案
相关习题

科目:高中数学 来源: 题型:

定义一个“等积数列”:在一个数列中,如果每一项与它后一项的积都是同一常数,那么这个数列叫“等积数列”,这个常数叫做这个数列的公积.已知数列{an}是等积数列,且a1=2,公积为5,则这个数列的前n项和Sn的计算公式为:
 

查看答案和解析>>

科目:高中数学 来源: 题型:

在一个数列中,如果?n∈N*,都有an•an+1•an+2=k(k为常数),那么这个数列叫做等积数列,k叫做这个数列的公积.已知数列{an}是等积数列,且a1=1,a2=3,公积为27,则a1+a2+a3+…+a18=
78
78

查看答案和解析>>

科目:高中数学 来源: 题型:

定义“等积数列”:在一个数列中,如果每一个项与它的后一项的积都为同一个常数,那末这个数列叫做等积数列,这个常数叫做该数列的公积.已知数列{an}是等积数列,且a1=2,公积为5,Tn为数列{an}前n项的积,则T2011=
51006
2
51006
2

查看答案和解析>>

科目:高中数学 来源: 题型:

我们对数列作如下定义,如果?n∈N*,都有anan+1an+2=k(k为常数),那么这个数列叫做等积数列,k叫做这个数列的公积.已知数列{an}是等积数列,且a1=1,a2=2,公积为6,则a1+a2+a3+…+a9=
18
18

查看答案和解析>>

科目:高中数学 来源: 题型:

已知等差数列的定义为:在一个数列中,从第二项起,如果每一项与它的前一项的差都为同一个常数,那么这个数列叫做等差数列,这个常数叫做该数列的公差.
(1)类比等差数列的定义给出“等和数列”的定义;
(2)已知数列{an}是等和数列,且a1=2,公和为5,求 a18的值,并猜出这个数列的通项公式(不要求证明).

查看答案和解析>>

同步练习册答案