精英家教网 > 高中数学 > 题目详情

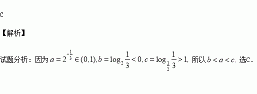
已知则( )

A.a>b>c B.a>c>b C.c>a>b D.c>b>a

练习册系列答案
相关习题

科目:高中数学 来源:2015-2016学年河北省定州市高二上学期竞赛数学试卷(解析版) 题型:选择题

已知x可以在区间[-t,4t](t>0)上任意取值,则x∈[-t,t]的概率是( ).

A. B. C. D.

查看答案和解析>>

科目:高中数学 来源:2014-2015学年广东省湛江市高一下学期期末考试数学试卷(解析版) 题型:选择题

向量a=,b=,则

A.a∥b

B.

C.a与b的夹角为60°

D.a与b的夹角为30°

查看答案和解析>>

科目:高中数学 来源:2016届云南省高三适应性月考二文科数学试卷(解析版) 题型:选择题

已知向量满足,且的夹角为60°,且,则=( )

A、2 B、-6 C、6 D、-2

查看答案和解析>>

科目:高中数学 来源:2016届云南省高三适应性月考二理科数学试卷(解析版) 题型:选择题

已知等差数列{}中,,且= 9,则此等差数列的公差d=( )

A、-4 B、-3 C、-2 D、

查看答案和解析>>

科目:高中数学 来源:2016届四川省高三上学期10月段考理科数学试卷(解析版) 题型:选择题

已知,则( )

A. B. C. D.

查看答案和解析>>

科目:高中数学 来源:2016届宁夏银川一中高三上学期第三次月考文科数学试卷(解析版) 题型:选择题

等差数列中,,则此数列前20项和等于 ( )

A.160 B.180 C.200 D.220

查看答案和解析>>

科目:高中数学 来源:2016届湖北武汉华中师大第一附中高三上期中考试文科数学试卷(解析版) 题型:选择题

中,已知,则三角形的面积为( )

A. B. C. D.

查看答案和解析>>

科目:高中数学 来源:2015-2016学年内蒙古赤峰平煤高中高二上学期月考数学试卷(解析版) 题型:选择题

执行下面的程序框图,如果输入的N是6,那么输出的p是( ).

A.120 B.720 C.1 440 D.5 040

查看答案和解析>>

同步练习册答案