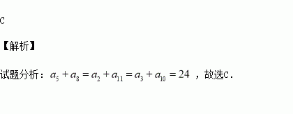
精英家教网 > 高中数学 > 题目详情

已知数列是等差数列,且,则等于( )

A. B. C. D.

练习册系列答案
相关习题

科目:高中数学 来源:2015-2016年湖南省高一上学期期中考试数学试卷(解析版) 题型:填空题

已知函数满足关系式,则函数恒过定点为_________.

查看答案和解析>>

科目:高中数学 来源:2016届重庆市高三12月月考文科数学试卷(解析版) 题型:选择题

已知,且,则的最小值为( )

A. B.6 C. D.12

查看答案和解析>>

科目:高中数学 来源:2015-2016学年河北省、永年二中高二上期中理科数学试卷(解析版) 题型:选择题

若某人在点A测得金字塔顶端仰角为30,此人往金字塔方向走了80米到达点B,测得金字塔顶端的仰角为45,则金字塔的高度最接近于(忽略人的身高)(参考数据)( )

A.110米 B.112米 C 220米 D.224米

查看答案和解析>>

科目:高中数学 来源:2015-2016学年广西钦州港经济技术开发区中学高二上期中文科数学卷(解析版) 题型:选择题

水平放置的△ABC的直观图如图,其中B′O′=C′O′=1,A′O′=,那么原△ABC是一个( )

A.等边三角形

B.直角三角形

C.三边中只有两边相等的等腰三角形

D.三边互不相等的三角形

查看答案和解析>>

科目:高中数学 来源:2015-2016年湖南省株洲市高二上第二次月考文数学卷(解析版) 题型:选择题

已知数列为等差数列,且,则的值为( )

(A) (B) (C) (D)

查看答案和解析>>

科目:高中数学 来源:2015-2016学年湖南省高二上期中数学试卷(解析版) 题型:解答题

已知函数

(1)若对于恒成立,求实数的取值范围;

(2)若对于恒成立,求实数的取值范围.

查看答案和解析>>

科目:高中数学 来源:2015-2016学年河南省高二上期中理科数学试卷(解析版) 题型:选择题

椭圆的一个焦点为,则的值是

A. B. C. D.

查看答案和解析>>

科目:高中数学 来源:2015-2016学年贵州省高二上滾动训练2数学试卷(解析版) 题型:填空题

一个几何体的三视图及其尺寸如图(单位:cm),则该几何体的表面积为

查看答案和解析>>

同步练习册答案