精英家教网 > 高中数学 > 题目详情

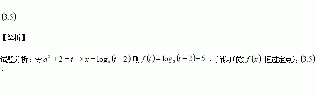
已知函数满足关系式,则函数恒过定点为_________.

练习册系列答案
相关习题

科目:高中数学 来源:2016届河北省邯郸市高三一轮考试二文科数学试卷(解析版) 题型:选择题

如图,已知,圆心在上,半径为1m的圆O在t=0时与相切于点A,圆O沿以1m/s的速度匀速向上移动,圆被直线所截上方圆弧长记为x,令y=cosx,则y与时间t(0≤t≤1,单位:s)的函数y=f(t)的图象大致为( )

A. B. C. D.

查看答案和解析>>

科目:高中数学 来源:2015-2016学年湖南省、攸县一中高二上期中理科数学试卷(解析版) 题型:解答题

中,角A,B,C的对边分别为a,b,c,若

(1)求角A;

(2)已知,求面积的最大值。

查看答案和解析>>

科目:高中数学 来源:2015-2016学年浙江省温州市十校联合体高二上学期期中考试数学试卷(解析版) 题型:填空题

已知圆的方程为,点的坐标为,设分别是直线和圆上的动点,则的最小值为______.

查看答案和解析>>

科目:高中数学 来源:2015-2016学年湖北省等四校高二上学期期中理科数学试卷(解析版) 题型:填空题

若直线互相平行,则的值是_________.

查看答案和解析>>

科目:高中数学 来源:2015-2016学年湖南省、攸县一中高二上期中文科数学试卷(解析版) 题型:解答题

已知全集U=R,非空集合<,<

(1)当时,求;

(2)命题,命题,若q是p的必要条件,求实数的取值范围.

查看答案和解析>>

科目:高中数学 来源:2015-2016学年浙江省嘉兴市高二上12月月考数学卷(解析版) 题型:选择题

如图,有一个水平放置的透明无盖的正方体容器,容器高8cm,将一个球放在容器口,再向容器内注水,当球面恰好接触水面时测得水深为6c,如果不计容器的厚,则球的体积为( )

A. B. C. D.

查看答案和解析>>

科目:高中数学 来源:2015-2016学年辽宁省分校高一12月月考数学卷(解析版) 题型:选择题

已知函数,若,则实数等于( ).

A. B. C.2 D.9

查看答案和解析>>

科目:高中数学 来源:2015-2016学年湖南省株洲市高二上期中数学试卷(解析版) 题型:选择题

已知数列是等差数列,且,则等于( )

A. B. C. D.

查看答案和解析>>

同步练习册答案