精英家教网 > 高中数学 > 题目详情

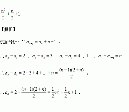
设数列中, ,,则通项=_____.

练习册系列答案
相关习题

科目:高中数学 来源:2016届辽宁省抚顺市高三10月月考文科数学试卷(解析版) 题型:选择题

已知函数,则不等式的解集为( )

A. B. C. D.

查看答案和解析>>

科目:高中数学 来源:2016届河北省高三上学期三调考试文科数学试卷(解析版) 题型:解答题

(本小题满分12分)设向量

(Ⅰ)若垂直,求的值;

(Ⅱ)求的最大值.

查看答案和解析>>

科目:高中数学 来源:2016届河北省高三二调理科数学试卷(解析版) 题型:解答题

(本小题满分12分)已知角的三个内角,是各角的对边,若向量,且

(1)求的值;

(2)求的最大值.

查看答案和解析>>

科目:高中数学 来源:2015-2016学年广东中山一中高二上第一次段考文科数学卷(解析版) 题型:选择题

对一切实数,不等式恒成立,则实数的取值范围是( )

A、 B、 C、 D、

查看答案和解析>>

科目:高中数学 来源:2016届山东省乳山市高三10月月考理科数学试卷(解析版) 题型:填空题

已知函数,若f(x)在上单调递增,则实数a的取值范围为____ ____.

查看答案和解析>>

科目:高中数学 来源:2015-2016学年黑龙江省牡丹江市高一上学期9月月考数学试卷(解析版) 题型:选择题

,那么等于( )

A. B. C.15 D.30

查看答案和解析>>

科目:高中数学 来源:2015-2016学年河北省高二上学期第二次月考文数学试卷(解析版) 题型:选择题

下列各进制数中值最小的是( )

A. B. C. D.

查看答案和解析>>

科目:高中数学 来源:2015-2016学年福建省福安市高二上学期第一次月考试数学试卷(解析版) 题型:解答题

(本小题12分)在锐角△中,内角的对边分别为,且

(1)求角的大小。

(2)若,求△的面积。

查看答案和解析>>

同步练习册答案