精英家教网 > 高中数学 > 题目详情

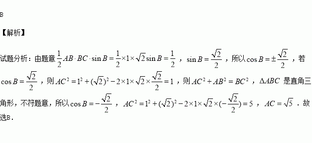
钝角三角形的面积是,则( )

A.5 B. C.2 D.1

练习册系列答案
相关习题

科目:高中数学 来源:2015-2016学年四川省雅安市高二11月月考理科数学试卷(解析版) 题型:填空题

已知正四棱柱中,的中点,则异面直线所成角的余弦值为

查看答案和解析>>

科目:高中数学 来源:2016届云南师范大学附属中学高三月考四理科数学试卷(解析版) 题型:解答题

如图,过椭圆内一点的动直线与椭圆相交于M,N两点,当平行于x轴和垂直于x轴时,被椭圆所截得的线段长均为.

(1)求椭圆的方程;

(2)在平面直角坐标系中,是否存在与点A不同的定点B,使得对任意过点的动直线都满足?若存在,求出定点B的坐标,若不存在,请说明理由.

查看答案和解析>>

科目:高中数学 来源:2015-2016学年福建三明一中高二上第二次月考理科数学卷(解析版) 题型:选择题

若A,B,C,则的形状是( )

A.钝角三角形 B.直角三角形

C.不等边锐角三角形 D.等边三角形

查看答案和解析>>

科目:高中数学 来源:2016届重庆市高三12月月考理科数学试卷(解析版) 题型:选择题

学校为了调查学生在课外读物方面的支出情况,抽出了一个容量为n且支出在元的样本,其频率分布直方图如图所示,其中支出在元的学生有30人,则n的值为( )

A.100 B.1000 C.90 D.900

查看答案和解析>>

科目:高中数学 来源:2015-2016学年内蒙古巴彦淖尔一中高二上期中文科数学卷(解析版) 题型:选择题

曲线在点处的切线方程为

A. B.

C. D.

查看答案和解析>>

科目:高中数学 来源:2015-2016学年内蒙古巴彦淖尔一中高二上期中理科数学卷(解析版) 题型:选择题

”是“”的( )

A.充分不必要条件 B.必要不充分条件

C.充要条件 D.既不充分也不必要条件

查看答案和解析>>

科目:高中数学 来源:2016届陕西省渭南市高三上第三次月考数学试卷(解析版) 题型:解答题

(2015秋•渭南校级月考)已知函数f(x)=|x﹣5|+|x﹣3|.

(Ⅰ)求函数f(x)的最小值m;

(Ⅱ)若正实数a,b满足+=,求证:+≥m.

查看答案和解析>>

科目:高中数学 来源:2016届宁夏石嘴山三中高三上第三次适应性考试理科数学试卷(解析版) 题型:选择题

(2015•郑州一模)已知函数f(x)=Asin(πx+φ)的部分图象如图所示,点B,C是该图象与x轴的交点,过点C的直线与该图象交于D,E两点,则的值为( )

A.﹣1 B. C. D.2

查看答案和解析>>

同步练习册答案