精英家教网 > 高中数学 > 题目详情

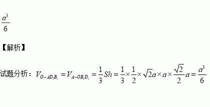
正方体ABCD-A1B1C1D1 中,O是上底面ABCD的中心,若正方体的棱长为,则三棱锥O-AB1D1的体积为_____________.

练习册系列答案
相关习题

科目:高中数学 来源:2016届吉林省高三上学期二模理科数学试卷(解析版) 题型:选择题

定义在R上的函数y=f(x),满足f(3-x)=f(x),f′(x)<0,若x1<x2,且

x1+x2>3,则有( )

A.f(x1)>f(x2) B.f(x1)<f(x2) C.f(x1)=f(x2) D.不确定

查看答案和解析>>

科目:高中数学 来源:2015-2016学年江苏启东中学高二上学期期中理科数学试卷(解析版) 题型:填空题

为真”是“为真”的 条件.(填充要,充分不必要,必要不充分,既不充分又不必要)

查看答案和解析>>

科目:高中数学 来源:2015-2016学年广东省高一上学期期中数学试卷(解析版) 题型:选择题

函数的定义域为( )

(A) (B) (C) (D)

查看答案和解析>>

科目:高中数学 来源:2014-2015学年山西襄汾赵曲中学高一上学期第一次月考人教版数学试卷(解析版) 题型:填空题

集合A={x|(a-1)x2+3x-2=0}的子集有且仅有两个,则实数a=

查看答案和解析>>

科目:高中数学 来源:2015-2016学年四川省德阳市高一10月月考数学试卷(解析版) 题型:填空题

设函数,则=___ .

查看答案和解析>>

科目:高中数学 来源:2015-2016学年内蒙古巴彦淖尔市高一10月月考数学试卷(解析版) 题型:选择题

函数的值域是( )

A.[0,12] B.[-,12]

C.[-,12] D.[,12]

查看答案和解析>>

科目:高中数学 来源:2015-2016学年湖北省黄石市高一10月月考数学试卷(解析版) 题型:选择题

设全集U=R,M={x|x<-2,或x>2},N={x|1<x<3},则图中阴影部分所表示的集合是( )[来

A.{x|-2≤x<1}

B.{x|-2≤x≤2}

C.{x|1<x≤2}

D.{x|x<2}

查看答案和解析>>

科目:高中数学 来源:2015-2016学年广东省高二上学期期中考试文科数学试卷(解析版) 题型:选择题

两圆的位置关系是( )

A.外离 B.外切 C.相交 D.内切

查看答案和解析>>

同步练习册答案