精英家教网 > 高中数学 > 题目详情

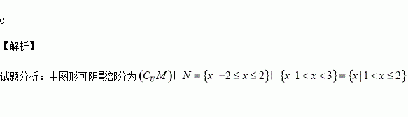
设全集U=R,M={x|x<-2,或x>2},N={x|1<x<3},则图中阴影部分所表示的集合是( )[来

A.{x|-2≤x<1}

B.{x|-2≤x≤2}

C.{x|1<x≤2}

D.{x|x<2}

练习册系列答案
相关习题

科目:高中数学 来源:2015-2016学年山东省高一10月月考数学试卷(解析版) 题型:选择题

函数的图象是下列图象中的( )

查看答案和解析>>

科目:高中数学 来源:2015-2016学年四川省德阳市高二10月月考数学试卷(解析版) 题型:填空题

正方体ABCD-A1B1C1D1 中,O是上底面ABCD的中心,若正方体的棱长为,则三棱锥O-AB1D1的体积为_____________.

查看答案和解析>>

科目:高中数学 来源:2015-2016学年江苏省泰州市姜堰区高二上学期期中考试文科数学试卷(解析版) 题型:填空题

若椭圆的离心率与等轴双曲线的离心率互为倒数,则

查看答案和解析>>

科目:高中数学 来源:2015-2016学年湖北省黄石市高一10月月考数学试卷(解析版) 题型:解答题

(本小题满分12分)

若函数满足下列两个性质:

在其定义域上是单调增函数或单调减函数;

②在的定义域内存在某个区间使得上的值域是.则我们称为“内含函数”.

(1)判断函数是否为“内含函数”?若是,求出a、b,若不是,说明理由;

(2)若函数是“内含函数”,求实数t的取值范围.

查看答案和解析>>

科目:高中数学 来源:2015-2016学年河北省高一10月月考数学试卷(解析版) 题型:选择题

设M={x|0≤x≤2},N={y|0≤y≤2},给出下列四个图形,其中能表示从集合M到集合N的函数关系的有( )

查看答案和解析>>

科目:高中数学 来源:2015-2016学年河北省唐山市高一10月月考数学试卷(解析版) 题型:解答题

(本题12分)已知函数

(1)用分段函数的形式表示该函数

(2)画出该函数的图像

(3)写出该函数的值域

查看答案和解析>>

科目:高中数学 来源:2015-2016学年广东省高一上第一次月考数学试卷(解析版) 题型:解答题

(12分)已知函数

(1)判断函数在区间上的单调性,并用定义证明你的结论;

(2)求该函数在区间上的最大值与最小值。

查看答案和解析>>

科目:高中数学 来源:2016届云南省高三上学期第一次月考理科数学试卷(解析版) 题型:选择题

以下四个命题中:

①为了了解800名学生对学校某项教改试验的意见,打算从中抽取一个容量为的样本,考虑用系统抽样,则分段的间隔为40.

②线性回归直线方程恒过样本中心

③在某项测量中,测量结果ξ服从正态分布.若ξ在内取值的概率为,则ξ在内取值的概率为

其中真命题的个数为( )

A. B. C. D.

查看答案和解析>>

同步练习册答案