精英家教网 > 高中数学 > 题目详情

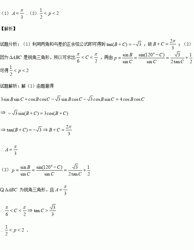
中,内角的对边分别为,已知

(1)求角的大小;

(2)若,且是锐角三角形,求实数的取值范围.

练习册系列答案
相关习题

科目:高中数学 来源:2016届安徽省等高三第三次联考文科数学卷(解析版) 题型:解答题

已知

(1)求的值;

(2)若,求的值域.

查看答案和解析>>

科目:高中数学 来源:2015-2016学年云南省高一上期中数学试卷(解析版) 题型:解答题

铁路运输托运行李,从甲地到乙地,规定每张客票托运费计算方法为:行李质量不超过,按计算;超过而不超过时,其超过部分按计算,超过时,其超过部分按计算.设行李质量为,托运费用为元.

(Ⅰ)写出函数的解析式;

(Ⅱ)若行李质量为,托运费用为多少?

查看答案和解析>>

科目:高中数学 来源:2015-2016学年上海师大附中高二上期中数学试卷(解析版) 题型:选择题

如图,由四个边长为1的等边三角形拼成一个边长为2的等边三角形,各顶点依次为,则,(

的值组成的集合为( )

(A)

(B)

(C)

(D)

查看答案和解析>>

科目:高中数学 来源:2015-2016学年黑龙江齐齐哈尔实验中学高一上期中数学卷(解析版) 题型:填空题

若幂函数在区间上是增函数,则实数的值为

查看答案和解析>>

科目:高中数学 来源:2015-2016学年辽宁沈阳二中高二12月月考文科数学卷(解析版) 题型:填空题

已知函数,若函数恰有两个不同的零点,则实数的取值范围为

查看答案和解析>>

科目:高中数学 来源:2015-2016学年江苏省高一上期中数学试卷(解析版) 题型:填空题

化简:=

查看答案和解析>>

科目:高中数学 来源:2015-2016学年河南省高二12月月考文科数学卷(解析版) 题型:选择题

给出如下四个命题:

①若“”为假命题,则均为假命题;

②命题“若,则”的否命题为“若,则”;

③“”的否定是“”;

④在△中,“”是“”的充要条件.

其中不正确的命题的个数是( )

A.4 B.3 C.2 D.1

查看答案和解析>>

科目:高中数学 来源:2015-2016学年山西省高二11月月考理科数学卷(解析版) 题型:选择题

已知平行六面体,底面是边长为1的正方形,,则异面直线所成角的余弦值为( )

A. B. C. D.

查看答案和解析>>

同步练习册答案