精英家教网 > 高中数学 > 题目详情

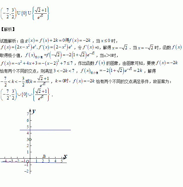
已知函数,若函数恰有两个不同的零点,则实数的取值范围为

练习册系列答案
相关习题

科目:高中数学 来源:2016届安徽省等高三第三次联考理科数学试卷(解析版) 题型:解答题

如图,在地正西方向处和正东方向处各有一条正北方向的公路,现计划在路边各维修一个物流中心,为缓解交通压力,决定修建两条互相垂直的公路,设

(1)为减少对周边区域的影响,试确定的位置,使的面积之和最小;

(2)为节省建设成本,试确定的位置,使的值最小.

查看答案和解析>>

科目:高中数学 来源:2015-2016学年云南省高一上期中数学试卷(解析版) 题型:选择题

集合的真子集个数为( )

A.3 B.4 C.7 D.8

查看答案和解析>>

科目:高中数学 来源:2015-2016学年黑龙江齐齐哈尔实验中学高一上期中数学卷(解析版) 题型:解答题

已知函数

(1)求的值;

(2)当(其中,且是常数)时,是否存在最小值?如果存在,求出最小值;

如果不存在,请说明理由.

查看答案和解析>>

科目:高中数学 来源:2016届浙江省富阳市高三上学期第二次质量检测理科数学试卷(解析版) 题型:解答题

中,内角的对边分别为,已知

(1)求角的大小;

(2)若,且是锐角三角形,求实数的取值范围.

查看答案和解析>>

科目:高中数学 来源:2015-2016学年江苏省高一上期中数学试卷(解析版) 题型:解答题

如图,在长为10千米的河流OC的一侧有一条观光带,观光带的前一部分为曲线段OAB,设曲线段OAB为函数(单位:千米)的图象,且图象的最高点为;观光带的后一部分为线段BC.

(1)求函数为曲线段OABC的函数的解析式;

(2)若计划在河流OC和观光带OABC之间新建一个如图所示的矩形绿化带MNPQ,绿化带由线段MQ,QP,PN构成,其中点P在线段BC上.当OM长为多少时,绿化带的总长度最长?

查看答案和解析>>

科目:高中数学 来源:2015-2016学年甘肃省高一上二段段中考试数学卷(解析版) 题型:选择题

在正方体ABCD-A’B’C’D’中,点P在线段AD’上运动,则异面直线CP与BA’所的 θ角

的取值范围是( )

A. B. C. D.

查看答案和解析>>

科目:高中数学 来源:2015-2016学年江西省吉安市高二上二段考理科数学卷(解析版) 题型:选择题

是两个不同的平面,m是直线,且.“”是“”的( )

A.充分而不必要条件

B.必要而不充分条件

C.充分必要条件

D.既充分也不必要条件

查看答案和解析>>

科目:高中数学 来源:2015-2016学年河南省高一12月月考数学试卷(解析版) 题型:填空题

已知函数,且,则的值为

查看答案和解析>>

同步练习册答案