精英家教网 > 高中数学 > 题目详情
求适合下列条件的双曲线的标准方程:
(1)焦点在 x轴上,虚轴长为12,离心率为 
(2)顶点间的距离为6,渐近线方程为
【答案】分析:(1)由于双曲线的焦点在x轴上,设所求双曲线的方程为=1.由题意,得出关于a,c的方程组即可解得a,c,结合b2=c2-a2求出b值,写出双曲线的方程即可;
(2)当焦点在x轴上时,设所求双曲线的方程为=1得出关于a,b的方程组即可解得a,b,写出双曲线的方程即可;同理可求当焦点在y轴上双曲线的方程.
解答:解:(1)焦点在x轴上,设所求双曲线的方程为=1.
由题意,得解得a=8,c=10.
∴b2=c2-a2=100-64=36.
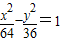
所以焦点在x轴上的双曲线的方程为
(2)当焦点在x轴上时,设所求双曲线的方程为=1
由题意,得解得a=3,b=2.
所以焦点在x轴上的双曲线的方程为
同理可求当焦点在y轴上双曲线的方程为
点评:本小题主要考查双曲线的标准方程、双曲线的简单性质等基础知识,求双曲线的标准方程,先确定标准方程的形式,再根据条件求出 a,b.
练习册系列答案
相关习题

科目:高中数学 来源: 题型:

分别求适合下列条件圆锥曲线的标准方程:
(1)焦点为F1(0,-1)、F2(0,1)且过点M(
3
2
,1)
椭圆;
(2)与双曲线x2-
y2
2
=1
有相同的渐近线,且过点(2,2)的双曲线.

查看答案和解析>>

科目:高中数学 来源: 题型:

求适合下列条件的抛物线的标准方程:
(1)顶点在原点,对称轴为坐标轴,顶点到准线的距离为4;
(2)顶点是双曲线16x2-9y2=144的中心,准线过双曲线的左顶点,且垂直于坐标轴.

查看答案和解析>>

科目:高中数学 来源: 题型:

求适合下列条件的圆锥曲线的标准方程:
(1)求两个焦点坐标分别为(-4,0)和(4,0),且经过点(5,0)的椭圆的标准方程;
(2)与双曲线
x2
9
-
y2
16
=1
有共同的渐近线,且过点(-3,2
3
)的双曲线的标准方程.

查看答案和解析>>

科目:高中数学 来源: 题型:

求适合下列条件的双曲线的标准方程:
(1)焦点在 x轴上,虚轴长为12,离心率为 
5
4

(2)顶点间的距离为6,渐近线方程为y=±
3
2
x

查看答案和解析>>

科目:高中数学 来源:2014届广东省高二第二学期期中考试数学文试卷(解析版) 题型:解答题

分别求适合下列条件圆锥曲线的标准方程:

(1)焦点为且过点椭圆;

(2)与双曲线有相同的渐近线,且过点的双曲线.

 

查看答案和解析>>

同步练习册答案