精英家教网 > 高中数学 > 题目详情

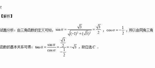
已知角的终边过点,则( )

A. B. C. D.

练习册系列答案
相关习题

科目:高中数学 来源:2016届贵州市高三上第四次月考理科数学试卷(解析版) 题型:解答题

已知首项都是1的两个数列,满足

(1)令,求数列的通项公式;

(2)若,求数列的前n项和

查看答案和解析>>

科目:高中数学 来源:2015-2016学年四川省高二上期中理科数学试卷(解析版) 题型:解答题

如图,棱锥的底面是矩形,⊥平面

(1)求证:BD⊥平面PAC;

(2)求二面角P—CD—B的大小;

(3)求点C到平面PBD的距离.

查看答案和解析>>

科目:高中数学 来源:2016届河北省高三上学期期中考试理科数学试卷(解析版) 题型:解答题

(1)已知函数f(x)=|x-1|+|x-a|.若不等式f(x)≥a恒成立,求实数a的取值范围.

(2).如图,圆O的直径为AB且BE为圆O的切线,点C为圆O上不同于A、B的一点,AD为∠BAC的平分线,且分别与BC交于H,与圆O交于D,与BE交于E,连结BD、CD.

(Ⅰ)求证:∠DBE=∠DBC;

(Ⅱ)若HE=4,求ED.

查看答案和解析>>

科目:高中数学 来源:2015-2016学年湖南师大附中高二上第二次段测理科数学卷(解析版) 题型:选择题

函数是( )

A.周期为的偶函数

B.周期为2的偶函数

C.周期为的奇函数

D.周期为2的奇函数

查看答案和解析>>

科目:高中数学 来源:2015-2016学年湖北航天高中等校高二上学期期中联考数学试卷(解析版) 题型:填空题

将容量为n的样本数据分成6组,绘制频率分布直方图,若第一组至第六组的数据的频率之比为2:3:4:6:4:1,且前三组数据的频数之和等于27,则n=

查看答案和解析>>

科目:高中数学 来源:2015-2016学年河北省邯郸市等校高二上学期期中理科数学试卷(解析版) 题型:填空题

若抛物线的顶点在原点,开口向上,F为焦点,M为准线与y轴的交点,A为抛物线上一点,且|AM|=,|AF|=3,求此抛物线的标准方程.

查看答案和解析>>

科目:高中数学 来源:2015-2016学年湖北省等高二上学期期中联考文科数学试卷(解析版) 题型:解答题

已知的顶点边上的中线所在的直线方程为边上的高所在的直线方程为,求:

(1)顶点的坐标;

(2)直线的方程.

查看答案和解析>>

科目:高中数学 来源:2015-2016学年山东省枣庄市高二10月学情调查数学试卷(解析版) 题型:选择题

中,角所对的边长分别为,若( )

A. B.2 C. D.

查看答案和解析>>

同步练习册答案