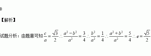
精英家教网 > 高中数学 > 题目详情

若椭圆的离心率是,则双曲线的离心率是( )

A. B. C. D.

练习册系列答案
相关习题

科目:高中数学 来源:2016届辽宁省五校协作体高三上学期期初考试文科数学试卷(解析版) 题型:填空题

设变量x,y满足约束条件:,则目标函数z=的最小值为

查看答案和解析>>

科目:高中数学 来源:2015-2016学年浙江省温州市十校联合体高一上学期期中考试数学试卷(解析版) 题型:选择题

函数的定义域是

A. B. C. D.

查看答案和解析>>

科目:高中数学 来源:2015-2016学年广西钦州港经济技术开发区中学高一上期中数学试卷(解析版) 题型:填空题

若函数f(x)=(k﹣2)x2+(k﹣1)x+3是偶函数,则f(x)的递减区间是

查看答案和解析>>

科目:高中数学 来源:2015-2016学年广东省汕头市高一上学期期中考试数学试卷(解析版) 题型:选择题

若幂函数的图象过点,则( )

A. B.

C. D.

查看答案和解析>>

科目:高中数学 来源:2015-2016年湖北武汉华中师大一附高二上期中文科数学卷(解析版) 题型:选择题

直线R)与椭圆恒有公共点,则的取值范围是( )

A.(0,1) B.(0,5) C. D.

查看答案和解析>>

科目:高中数学 来源:2016上海复旦大学附中届高三上期中文科数学试卷(解析版) 题型:填空题

若集合,则 .

查看答案和解析>>

科目:高中数学 来源:2016届河北省高三上学期四调理科数学试卷(解析版) 题型:选择题

已知等差数列的公差,且成等比数列,若为数列的前项和,则的最小值为( )

A. B. C. D.

查看答案和解析>>

科目:高中数学 来源:2016届湖南省株洲市高三上学期期中文科数学试卷(解析版) 题型:解答题

已知函数

(1)求函数的最小正周期和对称轴方程;

(2)将的图像左移个单位,再向上移1个单位得到的图像,试求在区间的值域.

查看答案和解析>>

同步练习册答案