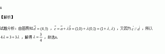
精英家教网 > 高中数学 > 题目详情

已知向量a=(1,0),b=(0,1),R),向量如图所示,若,则( )

A. B. C. D.

练习册系列答案
相关习题

科目:高中数学 来源:2016届湖北省等校高三9月联考理科数学试卷(解析版) 题型:选择题

已知定义在上的函数()为偶函数.记,则的大小关系为( )

A. B. C. D.

查看答案和解析>>

科目:高中数学 来源:2015-2016湖南常德石门一中高二下第一次月考文科数学卷(解析版) 题型:选择题

为了解某社区居民的家庭年收入和年支出的关系,随机调查了该社区5户家庭,得到如下统计数据表:

根据上表可得回归直线方程,其中,据此估计,该社区一户收入为15万元家庭年支出为( )

A.11.4万元 B.11.8万元 C.12.0万元 D.12.2万元

查看答案和解析>>

科目:高中数学 来源:2015-2016学年湖北省沙市高一下半月考四数学试卷(解析版) 题型:填空题

已知,………………

观察以上各等式有:(1) ;(2),且时,

查看答案和解析>>

科目:高中数学 来源:2015-2016学年湖北省沙市高一下半月考四数学试卷(解析版) 题型:选择题

在数列中,,且,则( )

A. B. C. D.

查看答案和解析>>

科目:高中数学 来源:2015-2016学年福建省高二下周练文科数学试卷(解析版) 题型:解答题

已知点是圆上的动点.

(1)求的取值范围;

(2)若恒成立,求实数的取值范围.

查看答案和解析>>

科目:高中数学 来源:2015-2016学年福建省高二下周练文科数学试卷(解析版) 题型:填空题

命题“”为假命题,则实数的取值范围是 .

查看答案和解析>>

科目:高中数学 来源:2015-2016学年贵州遵义航天高中高二3月考文科数学试卷(解析版) 题型:选择题

在“”,“”,“”形式的命题中“”为真,“”为假,“”为真,那么的真假情况分别为 ( )

A.真,假 B.假,真 C.真,真 D.假,假

查看答案和解析>>

科目:高中数学 来源:2016届河南省洛阳市高三下学期第二次模拟文科数学试卷(解析版) 题型:选择题

已知函数的定义域为,值域为,则的值不可能是( )

A. B.π C. D.2π

查看答案和解析>>

同步练习册答案