精英家教网 > 高中数学 > 题目详情
已知函数
(1)若函数f(x)在[1,+∞)上为增函数,求正实数a的取值范围;
(2)当a=1时,求f(x)在上的最大值和最小值;
(3)当a=1时,求证:对大于1的任意正整数n,都有
【答案】分析:(1)对函数f(x)进行求导,令导函数大于等于0在[1,+∞)上恒成立即可求出a的范围.
(2)将a=1代入函数f(x)的解析式,判断其单调性进而得到最大值和最小值.
(3)先判断函数f(x)的单调性,令代入函数f(x)根据单调性得到不等式,令n=1,2,…代入可证.
解答:解:(1)∵

∵函数f(x)在[1,+∞)上为增函数
对x∈[1,+∞)恒成立,
∴ax-1≥0对x∈[1,+∞)恒成立,即对x∈[1,+∞)恒成立
∴a≥1
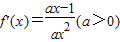
(2)当a=1时,
∴当时,f′(x)<0,故f(x)在上单调递减;
当x∈(1,2]时,f′(x)>0,故f(x)在x∈(1,2]上单调递增,
∴f(x)在区间上有唯一极小值点,故f(x)min=f(x)极小值=f(1)=0

∵e3>16

∴f(x)在区间上的最大值
综上可知,函数f(x)在上的最大值是1-ln2,最小值是0.
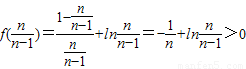
(3)当a=1时,
故f(x)在[1,+∞)上为增函数.
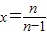
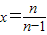
当n>1时,令,则x>1,故f(x)>f(1)=0
,即



即对大于1的任意正整数n,都有
点评:本题主要考查函数的单调性与其导函数的正负之间的关系,即当导函数大于0时原函数单调递增,当导函数小于0时原函数单调递减.
练习册系列答案
相关习题

科目:高中数学 来源:2013-2014学年山东省青岛市高三3月统一质量检测考试(第二套)理科数学试卷(解析版) 题型:解答题

已知函数

1的最

2当函数自变量的取值区间与对应函数值的取值区间相同时,这样的区间称为函数的保值区间.,试问函数上是否存在保值区间?若存在,请求出一个保值区间;若不存在,请说明理由.

 

查看答案和解析>>

科目:高中数学 来源:2010-2011学年四川省高三上学期10月月考文科数学卷 题型:选择题

已知函数的定义域为,部分函数值如表所示,其导函数的图象如图所示,若正数满足,则的取值范围是(  )

-3

0

6

1

1

 

 

 

 

 

A.            B.           C.    D.

 

查看答案和解析>>

科目:高中数学 来源:2014届湖南省高一12月月考数学 题型:解答题

(本题满分14分)定义在D上的函数,如果满足;对任意,存在常数,都有成立,则称是D上的有界函数,其中M称为函数的上界。

已知函数

(1)当时,求函数上的值域,并判断函数上是否为有界函数,请说明理由;

(2)若函数上是以3为上界函数值,求实数的取值范围;

(3)若,求函数上的上界T的取值范围。

 

查看答案和解析>>

科目:高中数学 来源:2014届湖南省高一12月月考数学 题型:解答题

(本题满分14分)定义在D上的函数,如果满足;对任意,存在常数,都有成立,则称是D上的有界函数,其中M称为函数的上界。

已知函数

(1)当时,求函数上的值域,并判断函数上是否为有界函数,请说明理由;

(2)若函数上是以3为上界函数值,求实数的取值范围;

(3)若,求函数上的上界T的取值范围。

 

查看答案和解析>>

科目:高中数学 来源: 题型:

(本小题满分12分

)已知函数                                       ,(>0),若函

    数的最小正周期为

(1)求的值,并求函数的最大值;

(2)若0<x<,当f(x)=时,求的值.

查看答案和解析>>

同步练习册答案