精英家教网 > 高中数学 > 题目详情

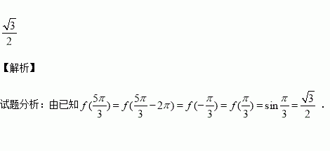
定义在上的偶函数是最小正周期为的周期函数,且当时,,则的值是______________________.

练习册系列答案
相关习题

科目:高中数学 来源:2015-2016学年宁夏六盘山高中高二下第二次月考文数学卷(解析版) 题型:解答题

在椭圆上,求点到直线的最大距离和最小距离.

查看答案和解析>>

科目:高中数学 来源:2015-2016学年辽宁省庄河市高一下期中文科数学试卷(解析版) 题型:解答题

已知的坐标分别是.(1)若,求角的值;(2)若,求的值.

查看答案和解析>>

科目:高中数学 来源:2015-2016学年辽宁省庄河市高一下期中文科数学试卷(解析版) 题型:选择题

,则过两点的直线方程是( )

A. B.

C. D.

查看答案和解析>>

科目:高中数学 来源:2015-2016学年辽宁省庄河市高一下期中理科数学试卷(解析版) 题型:解答题

如图,是圆的直径,垂直圆所在的平面,是圆上的点.

(1)求证:平面

(2)设的中点,的重心,求证:平面

查看答案和解析>>

科目:高中数学 来源:2015-2016学年辽宁省庄河市高一下期中理科数学试卷(解析版) 题型:选择题

三视图如图所示,则该几何体的体积为( )

A. B. C. D.

查看答案和解析>>

科目:高中数学 来源:2015-2016学年辽宁省庄河市高一下期中理科数学试卷(解析版) 题型:选择题

已知,则的值等于( )

A. B. C. D.

查看答案和解析>>

科目:高中数学 来源:2015-2016年新疆兵团农二师华山中学高二下期中理数学卷(解析版) 题型:选择题

设变量x,y满足约束条件:,则目标函数z=2x+3y的最小值为( )

A.6 B.7 C.8 D.23

查看答案和解析>>

科目:高中数学 来源:2015-2016学年山西怀仁一中高一下第三次月考理科数学卷(解析版) 题型:选择题

中,( )

A. B. C. D.

查看答案和解析>>

同步练习册答案