精英家教网 > 高中数学 > 题目详情
设数列{an}的通项公式为an=pn+q(n∈N*,p>0),数列{bm}定义如下:对于正整数m,bm是使得不等式an≥m成立的所有n中的最小值.
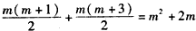
(Ⅰ)若p=,q=,求b3
(Ⅱ)若p=2,q=-1,求数列{bm}的前2m项和的公式;
(Ⅲ)是否存在p和q,使得bm=3m+2(m∈N*)?如果存在,求p和q的取值范围;如果不存在,请说明理由.
解:(Ⅰ)由题意得,解
所以使得成立的所有n中的最小正整数为7,即b3=7。
(Ⅱ)由题意得an=2n-1,
对正整数m,由an≥m得
根据bm的定义可知,当m=2k-1时,bm=k(k∈N*);
当m=2k时,bm=k+1(k∈N*),
所以b1+b2+…+b2n=(b1+b3+…+b2m-1)+(b2+b4+… +b2m)
=(1+2+3+…+m)+[2+3+4+…+(m+1)]
=
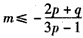
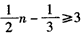
(Ⅲ)假设存在p,q满足条件,由不等式pn+q≥m及p>0得
因为bm=3m+2(m∈N*),
由bm的定义可知,对于任意的正整数m都有
即-2p-q≤(3p-1)m<-p-q对任意的正整数m都成立.
当3p-1>0(或3p-1<0)时,得(或),这与上述结论矛盾;
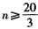
当3p-1=0,即时,得,解得(经检验符合题意),
所以存在p和q,使得bm=3m+2(m∈N*);
p和q的取值范围分别是
练习册系列答案
相关习题

科目:高中数学 来源: 题型:

设数列{an}的通项是关于x的不等式x2-x<(2n-1)x(n∈N′)的解集中整数的个数.
(1)求an并且证明{an}是等差数列;
(2)设m、k、p∈N*,m+p=2k,求证:
1
Sm
+
1
Sp
2
Sk

(3)对于(2)中的命题,对一般的各项均为正数的等差数列还成立吗?如果成立,请证明你的结论,如果不成立,请说明理由.

查看答案和解析>>

科目:高中数学 来源: 题型:

设数列{an}的通项公式为 an=kn-1.已知a1+a2+a3=7,且a1+3,3a2,a3+4构成等差数列.
(1)求k的值;
(2)令bn=log2a3n+1,(n=1,2,…,),求数列{bn}的前n项和Tn

查看答案和解析>>

科目:高中数学 来源: 题型:

设数列{an}的通项公式an=
1
n+1
+
1
n+2
+
1
n+3
+…+
1
2n
,那么an+1-an等于(  )

查看答案和解析>>

科目:高中数学 来源: 题型:

设数列{an}的通项an=n2+λn+1,已知对任意n∈N*,都有an+1>an,则实数λ的取值范围是(  )

查看答案和解析>>

科目:高中数学 来源: 题型:

设数列{an}的通项公式an=f(n)是一个函数,则它的定义域是(  )

查看答案和解析>>

同步练习册答案