精英家教网 > 高中数学 > 题目详情

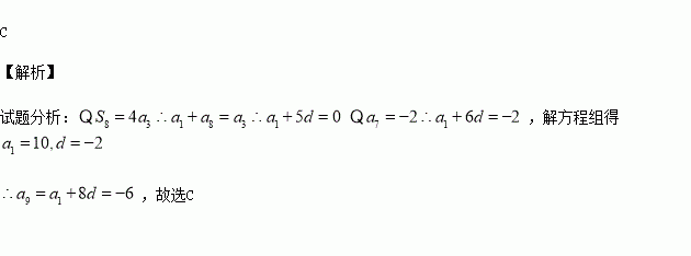
为等差数列的前项和,,则( )

A. B. C. D.

练习册系列答案
相关习题

科目:高中数学 来源:2014-2015学年贵州省高二上学期期中理科数学试卷(解析版) 题型:选择题

某校有行政人员、教学人员和教辅人员共200人,其中教学人员与教辅人员的比为10?1,行政人员有24人,现采取分层抽样容量为50的样本,那么行政人员应抽取的人数为( )

A.3 B.4 C.6 D.8

查看答案和解析>>

科目:高中数学 来源:2015-2016年湖南湘潭、岳阳一中高一上联考数学试卷(解析版) 题型:选择题

( )

A. B. C. D.

查看答案和解析>>

科目:高中数学 来源:2015-2016学年河北衡水冀州中学高二上期中文科数学B卷(解析版) 题型:选择题

若函数是(-2,4)上的增函数,且,则实数的取值范围是( )

A.(-1,1 ) B.(-∞,1) C.( 1,+∞) D.(-2,3 )

查看答案和解析>>

科目:高中数学 来源:2015-2016学年河北衡水冀州中学高二上期中理科数学B卷(解析版) 题型:选择题

已知次多项式,用秦九韶算法求当

的值,需要进行的乘法运算、加法运算的次数依次是 ( )

A、 B、2 C、 D、+1,+1

查看答案和解析>>

科目:高中数学 来源:2016届四川省巴中市普通高中高三10月零诊考试文科数学试卷(解析版) 题型:选择题

实数x,y满足约束条件,则z=x+2y的最大值为( )

A.1 B.2 C.7 D.8

查看答案和解析>>

科目:高中数学 来源:2016届四川省巴中市普通高中高三10月零诊考试理科数学试卷(解析版) 题型:选择题

函数f(x)=ex·cosx的图像在点(0,f(0))处的切线的倾斜角为( )

A.0 B. C.1 D.

查看答案和解析>>

科目:高中数学 来源:2015-2016年重庆巴蜀中学高一上学期10月月考数学试卷(解析版) 题型:选择题

下列函数中,在(-∞,0)上为增函数的是( )

A、 B、 C、 D、

查看答案和解析>>

科目:高中数学 来源:2015-2016学年湖北荆州中学高二上学期期中理科数学试卷(解析版) 题型:选择题

为圆的弦的中点,则直线的方程为 ( )

A. B.

C. D.

查看答案和解析>>

同步练习册答案