精英家教网 > 高中数学 > 题目详情

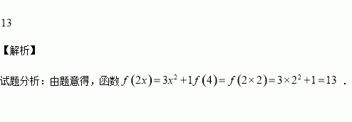
若函数f(2x)=3x2+1,则f(4)=

练习册系列答案
相关习题

科目:高中数学 来源:2015-2016学年福建省高一3月月考数学试卷(解析版) 题型:填空题

给出下列五个命题:

①函数的一条对称轴是

②函数的图象关于点对称;

③正弦函数在第一象限为增函数;

④若,则,其中

⑤函数的图象与直线有且仅有两个不同的交点,则的取值范围为.

以上五个命题中正确的有 .(填写所有正确命题的序号)

查看答案和解析>>

科目:高中数学 来源:2015-2016学年重庆十一中高一下期中理科数学试卷(解析版) 题型:解答题

(1)已知,且的夹角为60°,求的值;

(2)在矩形中,,点的中点,点边上,若,求的值.

查看答案和解析>>

科目:高中数学 来源:2015-2016学年重庆十一中高一下期中理科数学试卷(解析版) 题型:选择题

平行四边形ABCD中,E是CD的中点,且,则=( )

A. B.

C. D.

查看答案和解析>>

科目:高中数学 来源:2015-2016学年河南新乡一中高二重点下七次周练文数学卷(解析版) 题型:填空题

已知幂函数为奇函数,且在上是减函数,则

查看答案和解析>>

科目:高中数学 来源:2015-2016学年河南新乡一中高二重点下七次周练文数学卷(解析版) 题型:选择题

若复数z满足(1﹣i)z=|3﹣4i|,则z的实部为( )

A.﹣ B.﹣ C. D.

查看答案和解析>>

科目:高中数学 来源:2015-2016学年河南新乡一中高二重点下七次周练文数学卷(解析版) 题型:选择题

,若,若,则的值为( )

A.0 B.-2 C.0或-2 D.0或±2

查看答案和解析>>

科目:高中数学 来源:2015-2016学年河南新乡一中高二重点下七次周练理数学卷(解析版) 题型:选择题

某中学四名高二学生约定“五一”节到本地区三处旅游景点做公益活动,如果每个景点至少一名同学,且甲乙两名同学不在同一景点,则这四名同学的安排情况有( )

A.10种 B.20种 C.30种 D.40种

查看答案和解析>>

科目:高中数学 来源:2015-2016学年河北省高一下期中数学试卷(解析版) 题型:填空题

是非空集合,定义={},已知,则等于

查看答案和解析>>

同步练习册答案