精英家教网 > 高中数学 > 题目详情
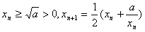
数列{xn}由下列条件确定:x1=a>0,,n∈N。
(1)证明:对n≥2,总有
(2)证明:对n≥2,总有xn≥xn+1
解:(1)由,可归纳证明
从而有
所以,当n≥2时,成立。
(2)当n≥2时,因为
所以
故当n≥2时,成立。
练习册系列答案
相关习题

科目:高中数学 来源:吉林省期中题 题型:证明题

设a、b、c∈(0,+∞),且a+b+c=1,求证:

查看答案和解析>>

科目:高中数学 来源:0109 期中题 题型:解答题

已知a,b,x,y∈(0,+∞),
(1)求证:,并指出等号成立的条件;
(2)利用此不等式求函数的最小值,并求出等号成立时的x值。

查看答案和解析>>

科目:高中数学 来源:重庆市高考真题 题型:解答题

已知以原点O为中心的椭圆的一条准线方程为,离心率,M是椭圆上的动点,
(Ⅰ)若C,D的坐标分别是(0,),(0,),求|MC|·|MD|的最大值;
(Ⅱ)如图,点A的坐标为(1,0),B是圆x2+y2=1上的点,N是点M在x轴上的射影,点Q满足条件:,求线段QB的中点P的轨迹方程。

查看答案和解析>>

科目:高中数学 来源:浙江省高考真题 题型:解答题

如图,直线y=kx+b与椭圆交于A、B两点,记△AOB的面积为S,
(Ⅰ)求在k=0,0<b<1的条件下,S的最大值;
(Ⅱ)当|AB|=2,S=1时,求直线AB的方程。

查看答案和解析>>

科目:高中数学 来源:同步题 题型:解答题

某化工厂引进一条先进生产线生产某种化工产品,其生产的总成本y(万元)与年产量x(吨)之间的函数关系式可以近似地表示为y=-48x+8 000,已知此生产线年产量最大为210吨,
(1)求年产量为多少吨时,生产每吨产品的平均成本最低,并求最低成本;
(2)若每吨产品平均出厂价为40万元,那么当年产量为多少吨时,可以获得最大利润?最大利润是多少?

查看答案和解析>>

科目:高中数学 来源:模拟题 题型:单选题

气象学院用32000元买了一台天文观测仪,已知这台观测仪从启用的第一天起连续使用,第n天的维修保养费为(n∈N*)元,使用它直至“报废最合算” (所谓“报废最合算”是指使用的这台仪器的平均每天耗资最少)为止,一共使用了
[     ]
A.600天
B.800天
C.1000天
D.1200天

查看答案和解析>>

科目:高中数学 来源:高考真题 题型:单选题

已知a2+b2=1,b2+c2=2,c2+a2=2,则ab+bc+ca的最小值为
[     ]
A.
B.
C.
D.

查看答案和解析>>

科目:高中数学 来源:专项题 题型:填空题

若a,b是正常数,a≠b,x,y∈(0,+∞),则,当且仅当时上式取等号.利用以上结论,可以得到函数f(x)=的最小值为(    ),取最小值时x的值为(    )。

查看答案和解析>>

同步练习册答案