精英家教网 > 高中数学 > 题目详情

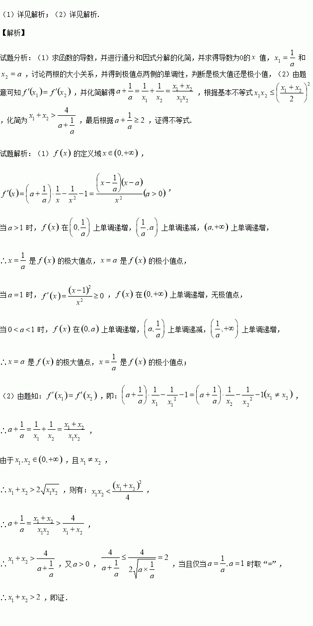
已知函数

(1)求的极值点;

(2)若曲线 上总存在不同两点,使得曲线两点处的切线互相平行,证明:

练习册系列答案
相关习题

科目:高中数学 来源:2016届河南六市高三第二次联考数学(文)试卷(解析版) 题型:解答题

已知.

(1)求函数最值;

(2)若,求证:.

查看答案和解析>>

科目:高中数学 来源:2016届河南六市高三第二次联考数学(理)试卷(解析版) 题型:选择题

下列说法错误的是( )

A.自变量取值一定时,因变量的取值带有一定随机性的两个变量之间的关系叫做相关关系

B.在线性回归分析中,相关系数r的值越大,变量间的相关性越强

C.在残差图中,残差点分布的带状区域的宽度越狭窄,其模型拟合的精度越高

D.在回归分析中,为0.98的模型比为0.80的模型拟合的效果好

查看答案和解析>>

科目:高中数学 来源:2016-2017学年河北石家庄市高三文9月摸底数学试卷(解析版) 题型:选择题

中,,的高线,则

A. B. C. D.

查看答案和解析>>

科目:高中数学 来源:2016-2017学年河北石家庄市高三文9月摸底数学试卷(解析版) 题型:选择题

复数在复平面上对应的点位于

A.第一象限 B.第二象限 C.第三象限 D.第四象限

查看答案和解析>>

科目:高中数学 来源:2017届新疆生产建设兵团二中高三上月考一数学(理)试卷(解析版) 题型:填空题

已知),.若同时满足条件:①上单调递减;②上存在单调递增区间,则实数的取值范围是___________.

查看答案和解析>>

科目:高中数学 来源:2017届新疆生产建设兵团二中高三上月考一数学(理)试卷(解析版) 题型:选择题

过函数图像上一点的切线方程是( )

A.

B.

C.

D.

查看答案和解析>>

科目:高中数学 来源:2015-2016学年辽宁省协作校高一下期末数学试卷(解析版) 题型:填空题

已知平面向量满足,则

查看答案和解析>>

科目:高中数学 来源:2015-2016学年黑龙江肇东一中高一下学期期末考试数学(文)试卷(解析版) 题型:解答题

中,已知.

(1)求的长;

(2)求的值.

查看答案和解析>>

同步练习册答案