精英家教网 > 高中数学 > 题目详情

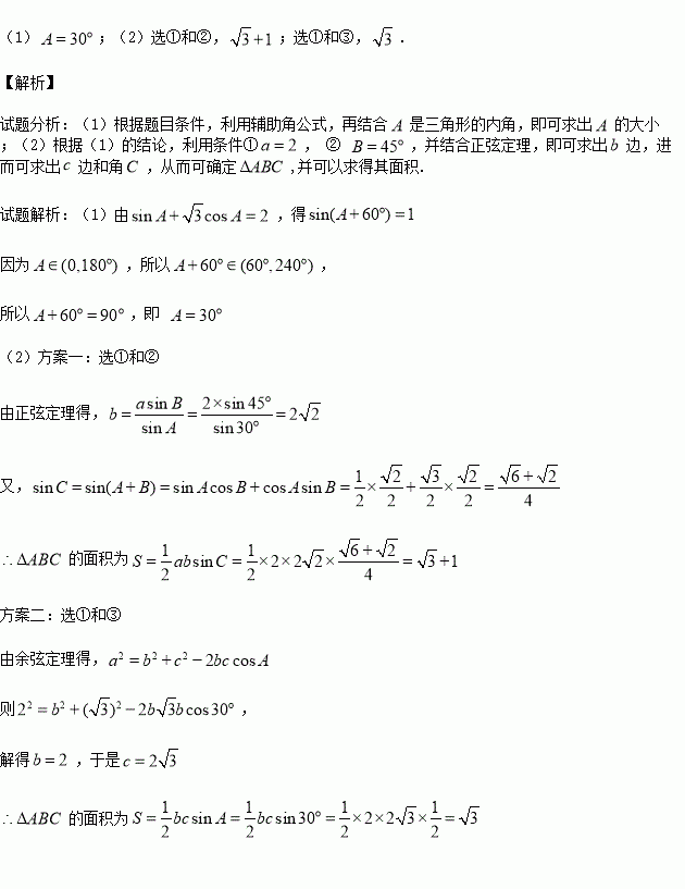
在△ABC中,a,b,c分别为内角A,B,C所对的边,且满足

(1)求A的大小;

(2)现给出三个条件:①; ② B=45°;③

试从中选出两个可以确定△ABC的条件,写出你的选择并以此为依据求△ABC的面积(只需写出一个选定方案即可,选多种方案以第一种方案记分).

练习册系列答案
相关习题

科目:高中数学 来源:2015-2016学年重庆十八中高一下期中理科数学试卷(解析版) 题型:选择题

在等比数列中,,则( )

A. 15 B. 20 C.25 D.40

查看答案和解析>>

科目:高中数学 来源:2015-2016学年江苏省高一下期中数学试卷(解析版) 题型:填空题

如果成等比数列,那么________.

查看答案和解析>>

科目:高中数学 来源:2015-2016学年河北武邑中学高一下4.24周考数学试卷(解析版) 题型:选择题

在正方体中,的中点,为底面的中心,为棱上任意一点,则直线与直线所成的角是( )

A. B. C. D.

查看答案和解析>>

科目:高中数学 来源:2015-2016学年黑龙江大庆市高一下期中文数学卷(解析版) 题型:解答题

已知数列的首项,前项和为,且

(1)证明数列是等比数列,并求数列的通项公式;

(2)求数列的前项和

查看答案和解析>>

科目:高中数学 来源:2015-2016学年黑龙江大庆市高一下期中文数学卷(解析版) 题型:选择题

设M是△ABC内一点,且△ABC的面积为1,定义f(M)=(m,n,p),其中m、n、p分别是△MBC,△MCA,△MAB的面积,若f(M)=(,x,y),则+的最小值是( )

A.8 B.9 C.16 D.18

查看答案和解析>>

科目:高中数学 来源:2015-2016学年黑龙江大庆市高一下期中文数学卷(解析版) 题型:选择题

如下图为长方体木块堆成的几何体的三视图,则组成此几何体的长方体木块块数共有( )

A.3块 B.4块 C.5块 D.6块

查看答案和解析>>

科目:高中数学 来源:2016届海南中学高三考前高考模拟十一理科数学试卷(解析版) 题型:选择题

已知椭圆与双曲线有相同的焦点,则双曲线的一条斜率为正的渐近线的倾斜角的取值范围为( )

A. B. C. D.

查看答案和解析>>

科目:高中数学 来源:2015-2016学年江西省高二下期中文科数学试卷(解析版) 题型:填空题

若直线与曲线有且只有一个公共点,实数的取值范围是

查看答案和解析>>

同步练习册答案