精英家教网 > 高中数学 > 题目详情

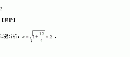
双曲线的离心率为

练习册系列答案
相关习题

科目:高中数学 来源:2015-2016学年贵州省高二上滾动训练3数学试卷(解析版) 题型:选择题

已知直线l1过点A(-1,1)和B(-2,-1),直线l2过点C(1,0)和D(0,a),若l1∥l2,则a的值为( )

A.-2 B.2 C.0 D.

查看答案和解析>>

科目:高中数学 来源:2016届云南师范大附中高考适应性月考三文科数学试卷(解析版) 题型:填空题

中,点的重心,若存在实数,使得成立,则等于

查看答案和解析>>

科目:高中数学 来源:2016届山西省高三上期中理科数学试卷(解析版) 题型:填空题

数列是首项为,公差为的等差数列,其中,且.设,若中的每一项恒小于它后面的项,则实数的取值范围为

查看答案和解析>>

科目:高中数学 来源:2016届山东省高三12月月考理科数学试卷(解析版) 题型:填空题

对任意的恒成立,则实数的取值范围为

查看答案和解析>>

科目:高中数学 来源:2016届内蒙古赤峰二中高三上12月月考理科数学试卷(解析版) 题型:解答题

在如图所示的几何体中,四边形ABCD为矩形,平面ABEF平面ABCD,EF//AB,,AD=2,AB= AF=2EF=l,点P在棱DF上.

(1)若P为DF的中点,求证:BF//平面ACP

(2)若二面角D-AP-C的余弦值为,求PF的长度.

查看答案和解析>>

科目:高中数学 来源:2016届湖南省长沙市高三月考三文科数学试卷(解析版) 题型:选择题

已知方程有两个不同的解α,β(α<β),则下面结论正确的是( )

A.

B.

C.

D.

查看答案和解析>>

科目:高中数学 来源:2015-2016学年福建省高一上第二次月考数学试卷(解析版) 题型:选择题

为定义域R,图象关于原点对称,当时, (为常数),则

时,解析式为( )

A、

B、

C、

D、

查看答案和解析>>

科目:高中数学 来源:2015-2016学年湖南省高二上学期期中考试文科数学试卷(解析版) 题型:选择题

给出如下三个命题:

①设a,bR,且>1,则<1;

②四个非零实数a、b、c、d依次成等比数列的充要条件是ad=bc;

③在ΔABC中,A>B的充要条件是sinA>sinB.

其中正确命题的序号是( )

(A)①② (B)②③ (C)①③ (D)①②③

查看答案和解析>>

同步练习册答案