精英家教网 > 高中数学 > 题目详情
设焦点在y轴上的双曲线渐近线方程为y=±x,且焦距为4,已知点A(1,
(1)求双曲线的标准方程;
(2)已知点A(1,),过点A的直线L交双曲线于M,N两点,点A为线段MN的中点,求直线L方程.
【答案】分析:(1)设出双曲线的标准方程,利用双曲线渐近线方程为y=±x,且焦距为4,求出几何量,即可求双曲线的标准方程;
(2)利用点差法,求出直线的斜率,即可求直线L方程.
解答:解:(1)设双曲线的标准方程为(a>0,b>0),则
∵双曲线渐近线方程为y=±x,且焦距为4,
,c=2
∵c2=a2+b2
∴a=1,b=
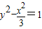
∴双曲线的标准方程为
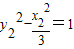
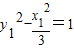
(2)设M(x1,y1),N(x2,y2),代入双曲线方程可得
两式相减,结合点A(1,)为线段MN的中点,可得
=
∴直线L方程为,即4x-6y-1=0.
点评:本题考查双曲线的标准方程,考查直线与双曲线的位置关系,考查学生的计算能力,属于中档题.
练习册系列答案
相关习题

科目:高中数学 来源: 题型:

已知焦点在x轴上的双曲线C的两条渐近线过坐标原点,且两条渐近线与以点A (0,)为圆心,1为半径的圆相切,又知C的一个焦点与A关于y = x对称.

    (1)求双曲线C的方程;

    (2)若Q是双曲线线C上的任一点,F1F2为双曲线C的左、右两个焦点,从F1引∠F1QF2的平分线的垂线,垂足为N,试求点N的轨迹方程;

    (3)设直线y = mx + 1与双曲线C的左支交于AB两点,另一直线l经过M (–2,0)及AB的中点,求直线ly轴上的截距b的取值范围.

查看答案和解析>>

同步练习册答案