已知直线l:y=kx,圆C:x2+y2-2x-2y+1=0,直线l交圆于P、Q两点,点M(0,b)满足MP⊥MQ.
(I)当b=1时,求k的值;
(II)若k>3时,求b的取值范围.
【答案】
分析:(1)当b=1时,代入到圆方程可发现点M(0,1)在圆上.又MP⊥MQ,所以P、Q比在圆直径上,即可得圆心一定在直线l上,代入即可得到答案.
(2)先设P(x
1,y
1),Q(x
2,y
2),联立方程组

可得到两根之和、两根之积的关系式,再根据MP⊥MQ,即

,可得x
1x
2+(y
1-b)(y
2-b)=0,代入可得答案.
解答:解:(1)∵C:x
2+y
2-2x-2y+1=0∴b=1时,点M(0,1)在圆上.又MP⊥MQ,圆心(1,1)在直线直线l:y=kx上,故k=1
(2)设P(x
1,y
1),Q(x
2,y
2).
联立方程组,

⇒(1+k
2)x
2-2(1+k)x+1=0,

.
∵MP⊥MQ∴

,即x
1x
2+(y
1-b)(y
2-b)=0.
又y
1=kx
1,y
2=kx
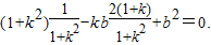
2,∴(1+k
2)x
1x
2-kb(x
1+x
2)+b
2=0,
∴

当b=0时,此式不成立,
从而

.
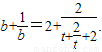
又∵k>3,令t=k-1>2,∴

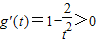
令函数

,当t>2时,

,g(t)>5,从而

解此不等式,可得

或
点评:本题主要考查直线和圆的方程的有关问题.一般思路将直线方程和圆方程联立消去y,得到两根之和、两根之积,再代入有关关系式即可.