精英家教网 > 高中数学 > 题目详情

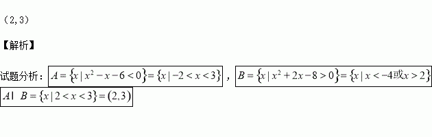
已知集合,则=_____

练习册系列答案
相关习题

科目:高中数学 来源:2015-2016学年江西省宜春市高二下第一次月考理科数学试卷(解析版) 题型:解答题

设复数,试求实数的值,使:

(1)z是实数;

(2)z是纯虚数.

查看答案和解析>>

科目:高中数学 来源:2015-2016学年江西省高二下学期第一次月考理科数学试卷(解析版) 题型:解答题

某商场销售某种商品的经验表明,该商品每日的销售量(单位:千克)与销售价格(单位:元/千克)满足关系式,其中为常数,已知销售价格为5元/千克时,每日可售出该商品11千克.

(1)求的值;

(2)若该商品的成品为3元/千克, 试确定销售价格的值,使商场每日销售该商品所获得的利润最大.

查看答案和解析>>

科目:高中数学 来源:2015-2016学年江西省高二下学期第一次月考理科数学试卷(解析版) 题型:选择题

在平面上,若两个正三角形的边长之比1:2,则它们的面积之比为1:4,类似地,在空间中,若两个正四面体的棱长之比为1:2,则它的体积比为( )

A.1:4 B.1:6 C.1:8 D.1:9

查看答案和解析>>

科目:高中数学 来源:2015-2016学年湖北省孝感六校联盟高一下学期期中考试文科数学卷(解析版) 题型:解答题

已知不等式的解集是

(1)若,求的取值范围;

(2)若,求不等式的解集.

查看答案和解析>>

科目:高中数学 来源:2015-2016学年湖北省孝感六校联盟高一下学期期中考试文科数学卷(解析版) 题型:选择题

若正数满足,则的最小值是( )

A. B. C.5 D.6

查看答案和解析>>

科目:高中数学 来源:2015-2016学年湖北省孝感六校联盟高一下学期期中考试文科数学卷(解析版) 题型:选择题

已知集合=( )

A. B. C. D.

查看答案和解析>>

科目:高中数学 来源:2015-2016学年上海市高一下学期第一次月考数学试卷(解析版) 题型:填空题

为第一象限角,那么, ,,中必定是正值的是

查看答案和解析>>

科目:高中数学 来源:2015-2016学年江西省赣州市十三县高二下学期期中文科数学试卷(解析版) 题型:选择题

在古希腊,毕达哥拉斯学派把1,3,6,10,15,……这些数叫做三角形数,因为这些数目的石子可以排成一个正三角形(如下图)

则第10个三角形数是( )

A. 35 B.36 C.45 D.55

查看答案和解析>>

同步练习册答案