精英家教网 > 高中数学 > 题目详情
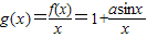
已知f(x)=x+asinx.
(Ⅰ)若f(x)在(-∞,+∞)上为增函数,求实数a的取值范围;
(Ⅱ)当a>0时,求上的最大值和最小值.
【答案】分析:(Ⅰ)由于f(x)在(-∞,+∞)上为增函数,从而得到f'(x)≥0对x∈(-∞,+∞)恒成立,令t=cosx,将此恒成立问题转化为二次函数恒成立问题,利用二次函数的性质列出不等式组即可求得实数a的取值范围;
(Ⅱ)当a>0时,,∴,记h(x)=xcosx-sinx,x∈(0,π),先研究h(x)的单调性,利用导数求解f(x)在R上的最值问题即可,故只要先求出函数的极值,比较极值和端点处的函数值的大小,最后确定出最值即得.
解答:解:(Ⅰ)∵f(x)在(-∞,+∞)上为增函数,
∴f'(x)=1+acosx≥0对x∈(-∞,+∞)恒成立.(2分)
令t=cosx,则1+at≥0对t∈[-1,1]恒成立,
,解得-1≤a≤1,
∴实数a的取值范围是[-1,1].(6分)
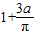
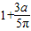
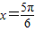
(Ⅱ)当a>0时,,∴,(8分)
记h(x)=xcosx-sinx,x∈(0,π),则h'(x)=-xsinx<0对x∈(0,π)恒成立,
∴h(x)在x∈(0,π)上是减函数,∴h(x)<h(0)=0,即g'(x)<0,
∴当a>0时,在(0,π)上是减函数,得g(x)在上为减函数.(11分)
∴当时,g(x)取得最大值;当时,g(x)取得最小值.(13分)
点评:考查学生利用导数求函数极值的能力,利用导数研究函数单调性的能力,利用导数求闭区间上函数最值的能力.
练习册系列答案
相关习题

科目:高中数学 来源: 题型:

已知f(x)是定义在R上的奇函数,当x≥0时,f(x)=x2-kx3.(k≥0)
(Ⅰ)求g(x)的解析式;
(Ⅱ)讨论函数f(x)在区间(-∞,0)上的单调性;
(Ⅲ)若k=
1
3
,设g(x)是函数f(x)在区间[0,+∞)上的导函数,问是否存在实数a,满足a>1并且使g(x)在区间[
1
2
,a]
上的值域为[
1
a
,1]
,若存在,求出a的值;若不存在,请说明理由.

查看答案和解析>>

科目:高中数学 来源: 题型:

已知集合A={x|0≤x≤4},集合B={y|0≤y≤2},按照下列对应法则能构成集合A到集合B的映射的是(  )

查看答案和解析>>

科目:高中数学 来源: 题型:

已知函数f(x)是奇函数:当x>0时,f(x)=x(1-x);则当x<0时,f(x)=(  )

查看答案和解析>>

科目:高中数学 来源: 题型:解答题

已知f(x)是定义在R上的奇函数,当x≥0时,f(x)=x2-kx3.(k≥0)
(Ⅰ)求g(x)的解析式;
(Ⅱ)讨论函数f(x)在区间(-∞,0)上的单调性;
(Ⅲ)若数学公式,设g(x)是函数f(x)在区间[0,+∞)上的导函数,问是否存在实数a,满足a>1并且使g(x)在区间数学公式上的值域为数学公式,若存在,求出a的值;若不存在,请说明理由.

查看答案和解析>>

科目:高中数学 来源:2011年高三数学第一轮基础知识训练(20)(解析版) 题型:解答题

已知f(x)是定义在R上的奇函数,当x≥0时,f(x)=x2-kx3.(k≥0)
(Ⅰ)求g(x)的解析式;
(Ⅱ)讨论函数f(x)在区间(-∞,0)上的单调性;
(Ⅲ)若,设g(x)是函数f(x)在区间[0,+∞)上的导函数,问是否存在实数a,满足a>1并且使g(x)在区间上的值域为,若存在,求出a的值;若不存在,请说明理由.

查看答案和解析>>

同步练习册答案