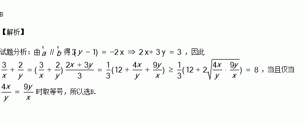
精英家教网 > 高中数学 > 题目详情

已知向量,若均为正数,则的最小值是( )

A. B. C. D.

练习册系列答案
相关习题

科目:高中数学 来源:2017届湖北省沙市高三上学期第二次考试理科数学卷(解析版) 题型:选择题

已知为常数,函数有两个极值点,则( )

A. B.

C. D.

查看答案和解析>>

科目:高中数学 来源:2017届河北省高三上学期周考理科数学卷(解析版) 题型:填空题

已知集合,映射,在作用下点的象是,则集合 .

查看答案和解析>>

科目:高中数学 来源:2017届广东省高三9月月考数学(文)试卷(解析版) 题型:

选修4—1:几何证明选讲

如图,圆周角∠BAC的平分线与圆交于点D,过点D的切线与弦AC的延长线交于点 E,AD交BC于点F.

(1)求证:BC∥DE;

(2)若D、E、C、F四点共圆,且,求∠BAC.

查看答案和解析>>

科目:高中数学 来源:2017届广东省高三9月月考数学(文)试卷(解析版) 题型:

已知函数,求曲线在点处的切线方程____________

查看答案和解析>>

科目:高中数学 来源:2017届广东省高三9月月考数学(文)试卷(解析版) 题型:

如图,在边长为的正方形内有不规则图形. 向正方形内随机撒豆子,若撒在图形内和正方形内的豆子数分别为,则图形面积的估计值为( )

A. B. C. D.

查看答案和解析>>

科目:高中数学 来源:2017届广东省高三9月月考数学(理)试卷(解析版) 题型:

选修4-1:几何证明选讲

已知外接圆劣弧上的点(不与点重合),延长, 延长的延长线于

(Ⅰ)求证:

(Ⅱ)求证:

查看答案和解析>>

科目:高中数学 来源:2017届广东省高三9月月考数学(理)试卷(解析版) 题型:

将函数的图象向左平移个单位,所得的函数关于轴对称,则的一个可能取值为( )

A. B. C .0 D.

查看答案和解析>>

科目:高中数学 来源:2015-2016学年湖南五市十校教改共同体高二下期末数学(理)试卷(解析版) 题型:选择题

在平面直角坐标系中,,若,则的最小值是( )

A. B. C. D.

查看答案和解析>>

同步练习册答案