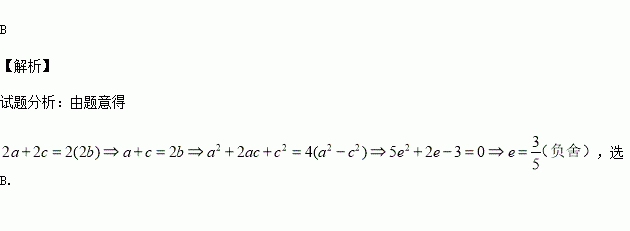
精英家教网 > 高中数学 > 题目详情

若一个椭圆长轴的长度、短轴的长度和焦距依次成等差数列,则该椭圆的离心率是( )

A. B. C. D.

练习册系列答案
相关习题

科目:高中数学 来源:2015-2016学年广西陆川县中学高一上学期周测九数学试卷(解析版) 题型:解答题

已知函数).

(1)若函数有两个零点,求的取值范围;

(2)若函数在区间上各有一个零点,求的取值范围.

查看答案和解析>>

科目:高中数学 来源:2015-2016年湖北武汉华中师大一附高二上期中文科数学卷(解析版) 题型:解答题

已知两条直线l1:ax-by+4=0,l2:(a-1)x+y+b=0,直线l1过点,并且直线l1与直线l2垂直.求满足条件的a,b的值.

查看答案和解析>>

科目:高中数学 来源:2016届河北省高三上学期四调文科数学试卷(解析版) 题型:填空题

某几何体的三视图如图所示,则该几何体的体积为

查看答案和解析>>

科目:高中数学 来源:2016届河北省高三上学期四调理科数学试卷(解析版) 题型:选择题

已知三棱锥两两垂直且长度均为,长为的线段的一个端点在棱上运动,另一个端点内运动(含边界),则的中点的轨迹与三棱锥的面所围成的几何体的体积为( )

A. B. C. D.

查看答案和解析>>

科目:高中数学 来源:2015-2016学年吉林省高二11月月考理科数学卷(解析版) 题型:填空题

若椭圆 的离心率,则的值为 .

查看答案和解析>>

科目:高中数学 来源:2015-2016学年湖北武汉华中师大一附高一上期中数学试卷(解析版) 题型:选择题

若关于的方程有实数解,则实数的取值范围是( )

A.

B.

C.

D.

查看答案和解析>>

科目:高中数学 来源:2016届宁夏六盘山高中高三上学期第二次月考理科数学试卷(解析版) 题型:选择题

满足约束条件,且,则的最小值为( )

A、1 B、2 C、 D、

查看答案和解析>>

科目:高中数学 来源:2015-2016学年山西省太原市高二12月月考数学试卷(解析版) 题型:解答题

如图,矩形的两条对角线相交于点边所在直线的方程为,点边所在直线上.

(1)求所在直线的方程;

(2)求矩形外接圆的方程.

查看答案和解析>>

同步练习册答案