精英家教网 > 高中数学 > 题目详情

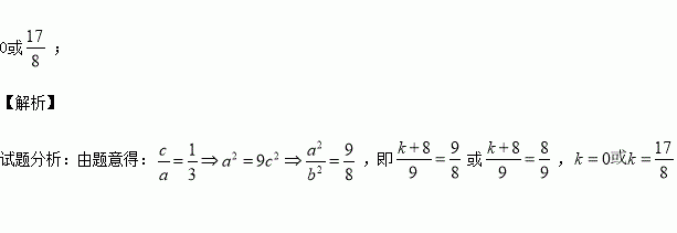
若椭圆 的离心率,则的值为 .

练习册系列答案
相关习题

科目:高中数学 来源:2015-2016学年浙江省温州市十校联合体高一上学期期中考试数学试卷(解析版) 题型:解答题

设集合,B={x|<1},

(1)求

(2)若,求的取值范围.

查看答案和解析>>

科目:高中数学 来源:2016上海复旦大学附中届高三上期中文科数学试卷(解析版) 题型:选择题

设集合的两个非空子集,如果存在一个从的函数满足: 对任意时,恒有,那么称这两个集合“保序同构”.以下集合对不是“保序同构”的是( )

A、 B、

C、 D、

查看答案和解析>>

科目:高中数学 来源:2016届河北省高三上学期四调理科数学试卷(解析版) 题型:解答题

(本小题满分12分)

中,角所对的边为,且满足

(1)求角的值;

(2)若,求的取值范围.

查看答案和解析>>

科目:高中数学 来源:2015-2016学年吉林省高二11月月考文科数学卷(解析版) 题型:选择题

若一个椭圆长轴的长度、短轴的长度和焦距依次成等差数列,则该椭圆的离心率是( )

A. B. C. D.

查看答案和解析>>

科目:高中数学 来源:2015-2016学年湖北武汉华中师大一附高一上期中数学试卷(解析版) 题型:解答题

已知实数集,集合,集合

(Ⅰ)当时,求

(Ⅱ)设,求实数的取值范围.

查看答案和解析>>

科目:高中数学 来源:2015-2016学年湖北武汉华中师大一附高二上期中理数学卷(解析版) 题型:选择题

过抛物线的焦点F作斜率为1的直线,交抛物线于A、B两点,若

等于( )

A. B. C. D.

查看答案和解析>>

科目:高中数学 来源:2016届江苏省高三上学期周练数学试卷(解析版) 题型:填空题

若一直角三角形的三边长构成公差为的等差数列,则该直角三角形的周长为

查看答案和解析>>

科目:高中数学 来源:2015-2016学年湖南师大附中高二上学期期中文科数学试卷(解析版) 题型:选择题

为真命题”是“为真命题”的( )

A.充分而不必要条件 B.必要而不充分条件

C.充分必要条件 D.既不充分也不必要条件

查看答案和解析>>

同步练习册答案