精英家教网 > 高中数学 > 题目详情

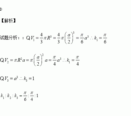
公元前世纪,古希腊欧几里得在《几何原本》里提出:“球的体积()与它的直径()的立方成正比”,此即,欧几里得未给出的值.世纪日本数学家们对求球的体积的方法还不了解,他们将体积公式中的常数称为“立圆率”或“玉积率”.类似地,对于等边圆柱(轴截面是正方形的圆柱)、正方体也可利用公式求体积(在等边圆柱中,表示底面圆的直径;在正方体中,表示棱长).假设运用此体积公式求得球(直径为)、等边圆柱(底面圆的直径为)、正方体(棱长为)的“玉积率”分别为,那么( )

A. B.

C. D.

练习册系列答案
相关习题

科目:高中数学 来源:2015-2016学年吉林省扶余市高一上学期期中考试数学试卷(解析版) 题型:选择题

下列函数中与函数相等的函数是

A. B. C. D.

查看答案和解析>>

科目:高中数学 来源:2015-2016学年重庆市高二上第一次月考理科数学试卷(解析版) 题型:填空题

已知椭圆,直线为圆的一条切线,若直线的倾斜角为,且恰好经过椭圆的右顶点,则椭圆离心率为

查看答案和解析>>

科目:高中数学 来源:2015-2016学年辽宁省大连市高二上期中理科数学试卷(解析版) 题型:填空题

椭圆的焦点坐标为

查看答案和解析>>

科目:高中数学 来源:2015-2016学年江西省等三校高二上第一次联考数学试卷(解析版) 题型:选择题

直线y=kx+3与圆(x-3)2+(y-2)2=4相交于M,N两点,若|MN|≥2,则k的取值范围是( )

A.[-,0] B.(-∞,-]∪[0,+∞)

C.[-] D.[-,0]

查看答案和解析>>

科目:高中数学 来源:2015-2016学年江西省赣州市十三县高二上期中联考理科数学试卷(解析版) 题型:选择题

如图给出的是计算+…+的值的程序框图,其中判断框内应填入的是( )

A. B. C. D.

查看答案和解析>>

科目:高中数学 来源:2015-2016学年湖南省高一上学期期中考试数学试卷(解析版) 题型:选择题

已知f(x-1)=2x+3,f(0)= ( )

A.3 B. 1 C. 7 D.-2

查看答案和解析>>

科目:高中数学 来源:2015-2016学年河北省邢台市高二上第一次月考数学试卷(解析版) 题型:选择题

如图,网格纸的各小格都是正方形,粗实线画出的是一个几何体的三视图,则这个几何体是( )

A.三棱锥 B.三棱柱 C.四棱锥 D.四棱柱

查看答案和解析>>

科目:高中数学 来源:2016届辽宁省葫芦岛市高三上学期期中理科数学试卷(解析版) 题型:填空题

成等差数列,则的值等于________.

查看答案和解析>>

同步练习册答案