精英家教网 > 高中数学 > 题目详情
已知椭圆的左顶点为A,左、右焦点为F1,F2,点P是椭圆上一点,,且△PF1F2的三边构成公差为1的等差数列.
(Ⅰ)求椭圆的离心率;
(Ⅱ)若,求椭圆方程;
(Ⅲ) 若c=1,点P在第一象限,且△PF1F2的外接圆与以椭圆长轴为直径的圆只有一个公共点,求点P的坐标﹒

【答案】分析:(Ⅰ)依题意:A(-a,0),F1(-c,0),F2(c,0),设P(s,t),利用向量的坐标及,即可求得椭圆的离心率;
(Ⅱ)不妨设|PF1|<|PF2|,先确定|PF1|=2c-1,|PF2|=2c+1,可得,由此可求椭圆方程;
(Ⅲ)法一:先求出椭圆方程,设△PF1F2的外接圆方程,利用F1(-1,0)和P(s,t)在圆上,可表示圆心坐标与半径,利用△PF1F2的外接圆与以椭圆长轴为直径的圆只有一个公共点,即两圆相切,且是内切,即可求得结论;
法二:先求出椭圆方程,由题△PF1F2的外接圆圆心必在y轴上,设其圆心为M(0,m),半径为r,则利用△PF1F2的外接圆与以椭圆长轴为直径的圆只有一个公共点,即可求点P的坐标.
解答:解:(Ⅰ)依题意:A(-a,0),F1(-c,0),F2(c,0),设P(s,t),
得:
,∴a=2c,∴
∴椭圆的离心率是
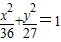
(Ⅱ)不妨设|PF1|<|PF2|,由|F1F2|=2c,及△PF1F2的三边构成公差为1的等差数列,再结合a=2c得:|PF1|=2c-1,|PF2|=2c+1,所以,①×2-②-③得:c2=9,所以椭圆方程是
(Ⅲ)法一:∵c=1,a=2c,∴a=2,∴b2=3,∴椭圆方程是
设P(s,t),则,以椭圆长轴为直径的圆的圆心为(0,0),半径为2,
设△PF1F2的外接圆方程是x2+y2+Dx+Ey+F=0,
又F1,F2关于y轴对称,故D=0,即圆方程为x2+y2+Ey+F=0,
由F1(-1,0)和P(s,t)在圆上得:,∴
则圆心坐标为,半径为
△PF1F2的外接圆与以椭圆长轴为直径的圆只有一个公共点,即两圆相切,且是内切,
∴OM=|2-r|(此方程无解)
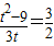
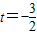
解得:
得:2t2-9t-18=0,(舍去)或t=-6(舍去)
得:2t2+9t-18=0,或t=-6(舍去),所以点P坐标
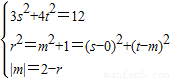
法二:由题△PF1F2的外接圆圆心必在y轴上,设其圆心为M(0,m),半径为r,则,由题s,t,m,r>0,从而解得
所以点P坐标为
点评:本题考查椭圆的标准方程与几何性质,考查向量知识的运用,考查圆的方程,属于中档题.
练习册系列答案
相关习题

科目:高中数学 来源:2012-2013学年江苏省淮安市盱眙县新马中学高三(上)第八周内测数学试卷(文科)(解析版) 题型:填空题

已知椭圆的左顶点为A,上顶点为B,右焦点为F.设线段AB的中点为M,若,则该椭圆离心率的取值范围为   

查看答案和解析>>

科目:高中数学 来源:2011-2012学年湖北省宜昌一中高二(上)期中数学试卷(文科)(解析版) 题型:填空题

如图,已知椭圆的左顶点为A,左焦点为F,上顶点为B,若∠BAO+∠BFO=90°,则该椭圆的离心率是   

查看答案和解析>>

科目:高中数学 来源:2012-2013学年广东省深圳市高级中学等三校高二(上)期末数学试卷(文科)(解析版) 题型:填空题

如图,已知椭圆的左顶点为A,左焦点为F,上顶点为B,若∠BAO+∠BFO=90°,则该椭圆的离心率是   

查看答案和解析>>

科目:高中数学 来源:2012-2013学年江苏省南通市海门中学高三(上)开学检测数学试卷(解析版) 题型:解答题

已知椭圆的左顶点为A,左、右焦点分别为F1,F2,且圆C:过A,F2两点.
(1)求椭圆标准的方程;
(2)设直线PF2的倾斜角为α,直线PF1的倾斜角为β,当β-α=时,证明:点P在一定圆上;
(3)设椭圆的上顶点为Q,证明:PQ=PF1+PF2

查看答案和解析>>

科目:高中数学 来源:2012年山东省枣庄市高考数学二模试卷(理科)(解析版) 题型:解答题

已知椭圆的左顶点为A,右焦点为F,且过点(1,),椭圆C的焦点与曲线的焦点重合.
(1)求椭圆C的方程;
(2)过点F任作椭圆C的一条弦PQ,直线AP、AQ分别交直线x=4于M、N两点,点M、N的纵坐标分别为m、n.请问以线段MN为直径的圆是否经过x轴上的定点?若存在,求出定点的坐标,并证明你的结论;若不存在,请说明理由.
(3)在(2)问的条件下,求以线段MN为直径的圆的面积的最小值.

查看答案和解析>>

同步练习册答案