精英家教网 > 高中数学 > 题目详情

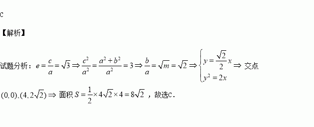
双曲线的离心率,则以双曲线的两条渐近线与抛物线的交点为顶点的三角形的面积为( )

A. B. C. D.

练习册系列答案
相关习题

科目:高中数学 来源:2017届湖南常德一中高三上学期月考二数学(文)试卷(解析版) 题型:选择题

设函数,其中,若存在唯一的整数,使得,则的取值范围是( )

A. B. C. D.

查看答案和解析>>

科目:高中数学 来源:2016届山西右玉一中高三冲刺压轴卷四数学(理)试卷(解析版) 题型:解答题

如图所示,边长为2的正方形所在的平面与所在的平面交于,且平面

(1)求证:平面平面

(2)设点是棱上一点,当点满足时,求二面角的余弦值.

查看答案和解析>>

科目:高中数学 来源:2016届山西右玉一中高三冲刺压轴卷四数学(理)试卷(解析版) 题型:选择题

设复数 ,则( )

A. B. C. D.

查看答案和解析>>

科目:高中数学 来源:2016届青海西宁五中四中十四中高三下联考数学(文)试卷(解析版) 题型:填空题

直线与圆相交于,两点,若,则实数的值

查看答案和解析>>

科目:高中数学 来源:2016届青海西宁五中四中十四中高三下联考数学(文)试卷(解析版) 题型:选择题

向量满足则向量的夹角为( )

A. B. C. D.

查看答案和解析>>

科目:高中数学 来源:2016-2017学年河北冀州市高二上月考二文数学试卷(解析版) 题型:解答题

已知四棱锥,底面、边长为的菱形,又,且,点分别是棱的中点.

(1)证明:平面

(2)证明:平面平面

(3)求点到平面的距离.

查看答案和解析>>

科目:高中数学 来源:2016-2017学年河北冀州市高二上月考二文数学试卷(解析版) 题型:选择题

已知向量,其中.若,则的最小值为( )

A.2 B. C. D.

查看答案和解析>>

科目:高中数学 来源:2015-2016学年湖南衡阳县四中高一下期期末数学试卷(解析版) 题型:填空题

取一根长度为3米的绳子,拉直后在任意位置剪断,则剪出的两段的长都不小于1米(记为事件A)的概率为________

查看答案和解析>>

同步练习册答案