精英家教网 > 高中数学 > 题目详情

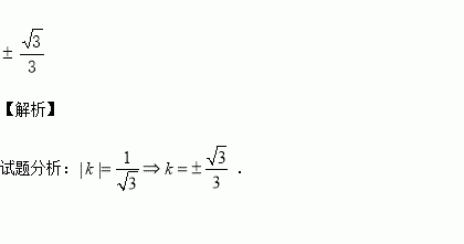
直线与圆相交于,两点,若,则实数的值

练习册系列答案
相关习题

科目:高中数学 来源:2017届湖南常德一中高三上学期月考二数学(文)试卷(解析版) 题型:解答题

(本小题满分10分)在中,内角所对的边分别为,已知

.

(Ⅰ)求

(Ⅱ)若,求的值.

查看答案和解析>>

科目:高中数学 来源:2016届山西右玉一中高三冲刺压轴卷四数学(理)试卷(解析版) 题型:解答题

选修4-5:不等式选讲

设函数

(1)求不等式的解集;

(2)如果关于的不等式上恒成立,求实数的取值范围.

查看答案和解析>>

科目:高中数学 来源:2016届山西右玉一中高三冲刺压轴卷四数学(理)试卷(解析版) 题型:选择题

如图所示的程序框图,若输出的,则判断框内应填入的条件是( )

A. B. C. D.

查看答案和解析>>

科目:高中数学 来源:2016届青海西宁五中四中十四中高三下联考数学(文)试卷(解析版) 题型:解答题

已知函数

(1)设曲线处的切线与直线平行,求此切线方程;

(2)当时,令函数,求函数在定义域内的极值点.

查看答案和解析>>

科目:高中数学 来源:2016届青海西宁五中四中十四中高三下联考数学(文)试卷(解析版) 题型:选择题

双曲线的离心率,则以双曲线的两条渐近线与抛物线的交点为顶点的三角形的面积为( )

A. B. C. D.

查看答案和解析>>

科目:高中数学 来源:2016届青海西宁五中四中十四中高三下联考数学(文)试卷(解析版) 题型:选择题

几何体的三视图如下,则它的体积是( )

A. B.

C. D.

查看答案和解析>>

科目:高中数学 来源:2016-2017学年河北冀州市高二上月考二文数学试卷(解析版) 题型:选择题

已知非零向量满足,且,则的形状为( )

A.三边均不相等的三角形 B.等边三角形

C.等腰非等边三角形 D.直角三角形

查看答案和解析>>

科目:高中数学 来源:2015-2016学年湖南衡阳县四中高一下期期末数学试卷(解析版) 题型:解答题

已知,且是方程的两根.

①求的值.

②求的值.

查看答案和解析>>

同步练习册答案