精英家教网 > 高中数学 > 题目详情
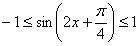
求函数的最大值和最小值。
解:
           
         
          



即y的最大值为,最小值为
练习册系列答案
相关习题

科目:高中数学 来源: 题型:

已知函数f(x)=x2+2ax+2,x∈[-5,5],
(1)当a=-1时,求函数的最大值和最小值;
(2)若y=f(x)在区间[-5,5]上是单调增函数,求实数a的取值范围.

查看答案和解析>>

科目:高中数学 来源: 题型:

已知函数f(x)=x2+2ax+2,x∈[-5,5],
(1)当a=-1时,求函数的最大值和最小值;
(2)求实数a的取值范围,使y=f(x)在区间[-5,5]上是单调减函数.

查看答案和解析>>

科目:高中数学 来源: 题型:

已知函数f(x)=
2x-1
(x∈[2,6])
,求函数的最大值和最小值.

查看答案和解析>>

科目:高中数学 来源: 题型:

已知函数f(x)=x2+2ax+2,x∈[-5,5]
(1)当a=-1时,求函数的最大值和最小值;
(2)求实数a的取值范围,使y=f(x)在区间[-5,5]上是单调函数.
(3)求函数f(x)的最小值g(a),并求g(a)的最大值.

查看答案和解析>>

科目:高中数学 来源:2010年甘肃省高一下学期期末考试数学卷 题型:解答题

(本小题12分)设函数

(1)、求函数的最大值和最小正周期;

(2)、将函数的图像按向量平移,使平移后得到的图像关于坐标原点成中心对称,求长度最小的向量

 

查看答案和解析>>

同步练习册答案