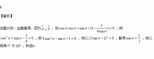
精英家教网 > 高中数学 > 题目详情

设向量,且,则锐角为( )

A. B. C. D.

练习册系列答案
相关习题

科目:高中数学 来源:2015-2016学年重庆十八中高一下期中文科数学试卷(解析版) 题型:选择题

,则下列不等式正确的是( )

A. B. C. D.

查看答案和解析>>

科目:高中数学 来源:2016届海南省高三高考模拟三文科数学试卷(解析版) 题型:选择题

在锐角中,角所对的边分别为,若,则的值为( )

A.6 B.3 C.2 D.2或3

查看答案和解析>>

科目:高中数学 来源:2016届黑龙江省高三下四模理科数学试卷(解析版) 题型:填空题

中,内角所对的边长分别为且满足,若边上中线,则的面积为_________.

查看答案和解析>>

科目:高中数学 来源:2016届黑龙江省高三下四模理科数学试卷(解析版) 题型:选择题

若双曲线与直线无交点,则离心率的取值范围( )

A. B. C. D.

查看答案和解析>>

科目:高中数学 来源:2015-2016学年重庆八中高一下期中数学试卷(解析版) 题型:解答题

中,角的对边分别为,且满足

(Ⅰ)求角的大小;

(Ⅱ)若点中点,且,求

查看答案和解析>>

科目:高中数学 来源:2015-2016学年重庆八中高一下期中数学试卷(解析版) 题型:填空题

若平面向量满足:,,则的夹角为

查看答案和解析>>

科目:高中数学 来源:2016届山东省高三最后一模文科数学试卷(解析版) 题型:解答题

如图,为圆的直径,点在圆上,且,矩形所在的平面和圆所在的平面互相垂直,且.

(I)求证:平面

(II)设的中点为,求证:平面

(III)设平面将几何体分成的两个锥体的体积分别为,求

查看答案和解析>>

科目:高中数学 来源:2015-2016学年江西玉山一中高一下第三次考试文科数学卷(解析版) 题型:解答题

如图,在△ABC中,BC边上的中线AD长为3,且∠ADC=-.

(1)求∠BAD的值;

(2)求AC边的长.

查看答案和解析>>

同步练习册答案