精英家教网 > 高中数学 > 题目详情

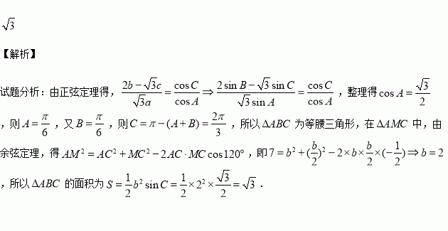
中,内角所对的边长分别为且满足,若边上中线,则的面积为_________.

练习册系列答案
相关习题

科目:高中数学 来源:2015-2016学年重庆十八中高一下期中文科数学试卷(解析版) 题型:填空题

已知船A在灯塔C北偏东且到C的距离为,船B在灯塔C西偏北且到C的距离为,则A,B两船的距离为 .

查看答案和解析>>

科目:高中数学 来源:2016届海南省高三高考模拟三文科数学试卷(解析版) 题型:解答题

设函数.

(1)讨论的单调性和极值;

(2)证明:当时,若存在零点,则在区间上仅有一个零点.

查看答案和解析>>

科目:高中数学 来源:2016届海南省高三高考模拟三文科数学试卷(解析版) 题型:选择题

为了规定工时定额,需要确定加工零件所花费的时间,为此进行了5次试验,得到5组数据,根据收集到的数据可知,由最小二乘法求得回归直线方程为,则( )

A.45 B.125.4 C.225 D.350.4

查看答案和解析>>

科目:高中数学 来源:2016届黑龙江省高三下四模理科数学试卷(解析版) 题型:解答题

设函数,曲线过点,且在点处的切线方程为.

(1)求的值;

(2)证明:当时,

(3)若当时,恒成立,求实数的取值范围.

查看答案和解析>>

科目:高中数学 来源:2016届黑龙江省高三下四模理科数学试卷(解析版) 题型:选择题

如图,四棱锥中,都是等边三角形,则异面直线所成角的大小为( )

A. B. C. D.

查看答案和解析>>

科目:高中数学 来源:2016届黑龙江省高三下四模理科数学试卷(解析版) 题型:选择题

设向量,且,则锐角为( )

A. B. C. D.

查看答案和解析>>

科目:高中数学 来源:2015-2016学年重庆八中高一下期中数学试卷(解析版) 题型:选择题

已知平面向量满足:的夹角为.若,为边的中点,则=( )

A.12 B. C. D.

查看答案和解析>>

科目:高中数学 来源:2016届山东省高三最后一模理科数学试卷(解析版) 题型:选择题

设函数其中表示不超过的最大整数,如=-2,=1,=1,若直线与函数y=的图象恰有三个不同的交点,则的取值范围是( )

A. B. C. D.

查看答案和解析>>

同步练习册答案