精英家教网 > 高中数学 > 题目详情

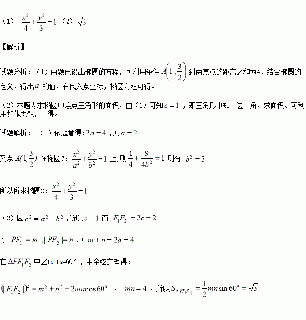
分别为椭圆的左右焦点。

(1)设椭圆C上的点到两焦点的距离之和为4,求椭圆C的方程;

(2)设P是(1)中椭圆上的一点,∠F1PF2=60°求△F1PF2的面积.

练习册系列答案
相关习题

科目:高中数学 来源:2015-2016学年广东中山一中高二下期中理科数学试卷(解析版) 题型:选择题

复数的共轭复数是( )

A. B. C. D.

查看答案和解析>>

科目:高中数学 来源:2016届黑龙江哈尔滨六中高三下四模考试文科数学试卷(解析版) 题型:选择题

已知等差数列中,,若,则数列的前5项和等于( )

A.90 B.45 C.30 D.186

查看答案和解析>>

科目:高中数学 来源:2015-2016学年福建省高一下学期第一次月考数学试卷(解析版) 题型:选择题

给出以下一个算法的程序框图(如图所示),该程序框图的功能是( )

A.求输出a,b,c三数的最大数 B.求输出a,b,c三数的最小数

C.将a,b,c按从小到大排列 D.将a,b,c按从大到小排列

查看答案和解析>>

科目:高中数学 来源:2015-2016学年福建省高一下学期第一次月考数学试卷(解析版) 题型:选择题

直线2x-y=7与直线3x+2y-7=0的交点是( )

A.(3,-1) B.(-1,3) C.(-3,-1) D.(3,1)

查看答案和解析>>

科目:高中数学 来源:2015-2016学年山西省高二3月月考文科数学试卷(解析版) 题型:填空题

设等差数列的前项和为,若 .

查看答案和解析>>

科目:高中数学 来源:2015-2016学年山西省高二3月月考文科数学试卷(解析版) 题型:选择题

曲线在点(1,0)处的切线方程为( )

(A) (B)

(C) (D)

查看答案和解析>>

科目:高中数学 来源:2015-2016学年山西省高二3月月考理科数学试卷(解析版) 题型:填空题

若实数满足条件,则的最大值为________.

查看答案和解析>>

科目:高中数学 来源:2015-2016学年甘肃省嘉峪关市高二上学期期末理科数学试卷(解析版) 题型:解答题

已知命题,若的充分不必要条件,求的取值范围.

查看答案和解析>>

同步练习册答案