精英家教网 > 高中数学 > 题目详情

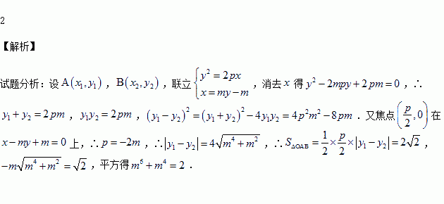
过抛物线的焦点的直线x-my+m=0与抛物线交于A、B两点,且△OAB(O为坐标原点)的面积为2,则________.

练习册系列答案
相关习题

科目:高中数学 来源:2015-2016学年湖南省、攸县一中高二上期中文科数学试卷(解析版) 题型:选择题

不等式表示的平面区域(用阴影表示)是( )

查看答案和解析>>

科目:高中数学 来源:2015-2016学年江苏省江阴市华士、成化、山观三校高二上期中数学卷(解析版) 题型:填空题

如图所示,分别是椭圆的右、上顶点,的三等分点(靠近点),为椭圆的右焦点,的延长线交椭圆于点,且,则椭圆的离心率为

查看答案和解析>>

科目:高中数学 来源:2015-2016年湖南省株洲市高二上第二次月考文数学卷(解析版) 题型:解答题

等比数列的各项均为正数,且

(1)求数列的通项公式;

(2)设求数列的前n项和.

查看答案和解析>>

科目:高中数学 来源:2015-2016年湖南省株洲市高二上第二次月考理数学卷(解析版) 题型:填空题

若直线与曲线有公共点,则的取值范围是

查看答案和解析>>

科目:高中数学 来源:2015-2016学年河南省高二上期中文科数学试卷(解析版) 题型:解答题

(1)求的解集;

(2)若不等式对任意实数恒成立,求实数x的取值范围.

查看答案和解析>>

科目:高中数学 来源:2015-2016学年河南省高二上期中理科数学试卷(解析版) 题型:选择题

时,不等式恒成立,则实数的取值范围是

A. B. C. D.

查看答案和解析>>

科目:高中数学 来源:2015-2016学年海南省高一上第三次月考数学试卷(解析版) 题型:选择题

若函数的一个正数零点附近的函数值用二分法逐次计算,参考数据如下表:

那么方程的一个近似根(精确到0.1)为( )

A.1.2 B.1.3 C.1.4 D.1.5

查看答案和解析>>

科目:高中数学 来源:2015-2016学年广东省惠州市高二上期中理科数学试卷(解析版) 题型:解答题

已知集合A=,B={x|x+m2≥1}.命题p:x∈A,命题q:x∈B,并且命题p是命题q的充分条件,求实数m的取值范围.

查看答案和解析>>

同步练习册答案