精英家教网 > 高中数学 > 题目详情

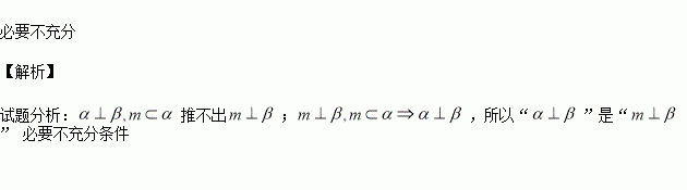
已知表示两个不同的平面,为平面内的一条直线,则“”是“”的 条件.(横线上填“充分不必要”,“必要不充分条件”,“充要”,“既不充分也不必要”中的一个)

练习册系列答案
相关习题

科目:高中数学 来源:2016届河南省郑州市高三上学期联考文科数学试卷(解析版) 题型:选择题

一个几何体的三视图如图所示,则这个几何体的外接球的体积为( )

A. B. C. D.

查看答案和解析>>

科目:高中数学 来源:2015-2016学年广东省汕头市高一上学期期中考试数学试卷(解析版) 题型:填空题

,则

查看答案和解析>>

科目:高中数学 来源:2016上海复旦大学附中届高三上期中文科数学试卷(解析版) 题型:填空题

已知等差数列满足:,且它的前项和有最大值,则当取到最小正值时,

查看答案和解析>>

科目:高中数学 来源:2016上海复旦大学附中届高三上期中理科数学试卷(解析版) 题型:填空题

中,内角所对的边分别是.已知,则的值为_______.

查看答案和解析>>

科目:高中数学 来源:2016届河北省高三上学期四调理科数学试卷(解析版) 题型:填空题

的内角满足,则当取最大值时,角大小为

查看答案和解析>>

科目:高中数学 来源:2015-2016学年吉林省高二11月月考文科数学卷(解析版) 题型:选择题

下列命题中为真命题的是( )

A.命题“若,则”的否命题

B.命题“若,则”的逆命题

C.若,则两椭圆有不同的焦点

D.命题“若方程表示焦点在轴上的椭圆,则的取值范围为(0,1)”的逆否命题

查看答案和解析>>

科目:高中数学 来源:2015-2016学年湖北武汉华中师大一附高二上期中理数学卷(解析版) 题型:选择题

若所有满足的实数x, y均满足

,则的取值范围为( )

A. B. C. D.

查看答案和解析>>

科目:高中数学 来源:2016届湖北武汉华中师大一附等高三上第一次联考理数学卷(解析版) 题型:选择题

等差数列项和为,且,则数列的公差为( )

A.1 B.2 C.2015 D.2016

查看答案和解析>>

同步练习册答案