精英家教网 > 高中数学 > 题目详情

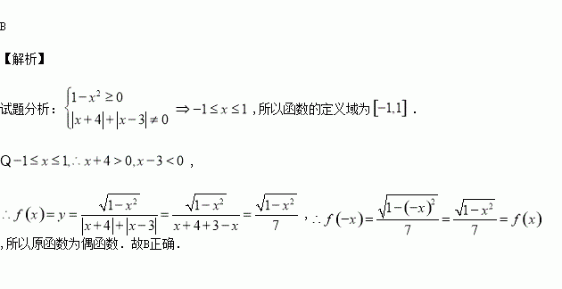
函数是( )

A.奇函数 B.偶函数 C.非奇非偶函数 D.既是奇函数又是偶函数

练习册系列答案
相关习题

科目:高中数学 来源:2015-2016学年陕西省西安市高二10月月考文科数学试卷(解析版) 题型:选择题

三角形ABC的内角A、B、C的对边分别为a、b、c,若a、b、c成等比数列,且,则( )

A. B. C. D.

查看答案和解析>>

科目:高中数学 来源:2016届广东省广州市荔湾区高三上学期调研测试一文科数学试卷(解析版) 题型:解答题

(本小题满分12分)已知四边形为平行四边形,,四边形为正方形,且平面平面

(1)求证:平面

(2)若中点,证明:在线段上存在点,使得∥平面,并求出此时三棱锥的体积.

查看答案和解析>>

科目:高中数学 来源:2015-2016学年浙江省高一上学期第一次月考数学试卷(解析版) 题型:填空题

已知函数的定义域为[-2,2],且在区间[-2,2]上是增函数,,求实数m的取值范围__________________.

查看答案和解析>>

科目:高中数学 来源:2015-2016学年湖南省高一上学期实验班招生数学试卷(解析版) 题型:选择题

已知是不全为零的实数,则关于的方程的根的情况为( ).

(A)有两个负根 (B)有两个正根

(C)有两个异号的实根 (D)无实根

查看答案和解析>>

科目:高中数学 来源:2015-2016学年河北邢台市高二上学期第一次月考文科数学试卷(解析版) 题型:选择题

一个水平放置的平面图形的斜二测直观图是一个底角为,腰和上底均为1的等腰梯形,则这个平面图形的面积为( )

A. B. C.1+ D.

查看答案和解析>>

科目:高中数学 来源:2015-2016学年河北邢台市高二上学期第一次月考理科数学试卷(解析版) 题型:选择题

若异面直线分别在平面内,且,则直线 ( )

A.与直线都相交

B.至少与中的一条相交

C.至多与中的一条相交

D.与中的一条相交,另一条平行

查看答案和解析>>

科目:高中数学 来源:2016届云南师范大学附属中学高考适应性月考卷一文科数学试卷(解析版) 题型:选择题

有3个不同的社团,甲、乙两名同学各自参加其中1个社团,每位同学参加各个社团的可能性相同,则这两位同学参加同一个社团的概率为( )

A、 B、 C、 D、

查看答案和解析>>

科目:高中数学 来源:2014-2015学年江西省赣州市高一下学期期末考试数学试卷(解析版) 题型:填空题

已知直线垂直,且与两坐标轴围成的三角形面积为4,则的方程是

查看答案和解析>>

同步练习册答案