精英家教网 > 高中数学 > 题目详情

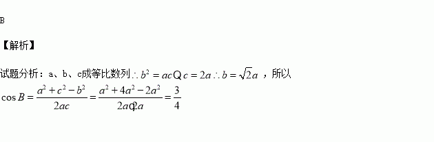
三角形ABC的内角A、B、C的对边分别为a、b、c,若a、b、c成等比数列,且,则( )

A. B. C. D.

练习册系列答案
相关习题

科目:高中数学 来源:2015-2016学年广东省高一下学期期初考试数学试卷(解析版) 题型:选择题

已知函数表示中的较大值,表示中的较小值,记得最小值为得最小值为,则( )

A. B. C. D.

查看答案和解析>>

科目:高中数学 来源:2015-2016学年广东省高二9月阶段测试文科数学试卷(解析版) 题型:解答题

已知分别为三个内角的对边,

(Ⅰ)求;(Ⅱ)若=2,的面积为,求

查看答案和解析>>

科目:高中数学 来源:2015-2016学年陕西省西安市高一第一次月考数学试卷(解析版) 题型:填空题

已知,则

查看答案和解析>>

科目:高中数学 来源:2015-2016学年陕西省西安市高一10月月考数学试卷(解析版) 题型:选择题

函数的递增区间依次为( )

A. B. ,

C., D.,

查看答案和解析>>

科目:高中数学 来源:2015-2016学年陕西省西安市高二10月月考理科数学试卷(解析版) 题型:选择题

的内角的对边分别为.若,且,则( )

A. B. C. D.

查看答案和解析>>

科目:高中数学 来源:2015-2016学年山西省高二上学期9月模块诊断数学试卷(解析版) 题型:选择题

定义在上的奇函数满足,且,则

A. B. C. D.

查看答案和解析>>

科目:高中数学 来源:2015-2016学年湖北省高二上学期第一次月考文科数学试卷(解析版) 题型:解答题

(本小题满分12分)(理科)已知圆

(1)若圆的切线在轴和轴上截距相等,求切线的方程;

(2)从圆外一点向圆引切线为切点,为坐标原点,且,求的最小值

查看答案和解析>>

科目:高中数学 来源:2015-2016学年河南省高一上期第一次月考数学试卷(解析版) 题型:选择题

函数是( )

A.奇函数 B.偶函数 C.非奇非偶函数 D.既是奇函数又是偶函数

查看答案和解析>>

同步练习册答案