精英家教网 > 高中数学 > 题目详情
设圆(x+1)2+y2=25的圆心为C,A(1,0)是圆内一定点,Q为圆周上任一点.线段AQ的垂直平分线与CQ的连线交于点M,则M的轨迹方程为( )

A.
B.
C.
D.
【答案】分析:根据线段中垂线的性质可得,|MA|=|MQ|,又|MQ|+|MC|=半径5,故有|MC|+|MA|=5>|AC|,根据椭圆的定义判断轨迹椭圆,求出a、b值,即得椭圆的标准方程.
解答:解:由圆的方程可知,圆心C(-1,0),半径等于5,设点M的坐标为(x,y ),∵AQ的垂直平分线交CQ于M,
∴|MA|=|MQ|. 又|MQ|+|MC|=半径5,∴|MC|+|MA|=5>|AC|.依据椭圆的定义可得,
点M的轨迹是以 A、C 为焦点的椭圆,且 2a=5,c=1,∴b=
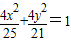
故椭圆方程为  =1,即 
故选D.
点评:本题考查椭圆的定义、椭圆的标准方程,得出|MC|+|MA|=5>|AC|,是解题的关键和难点.
练习册系列答案
相关习题

科目:高中数学 来源: 题型:

设椭圆
x2
a2
+
y2
b2
=1(a>b>0)的左、右焦点分别为F1,F2.点P(a,b)满足|PF2|=|F1F2|.
(Ⅰ)求椭圆的离心率e;
(Ⅱ)设直线PF2与椭圆相交于A,B两点,若直线PF2与圆(x+1)2+(y-
3
)
2
=16相交于M,N两点,且|MN|=
5
8
|AB|,求椭圆的方程.

查看答案和解析>>

科目:高中数学 来源: 题型:044

    已知二次函数f(x)=ax2+bx+c的图象的顶点坐标是(,),f(3)=2.

    (1)y=f(x)的表达式,并求出f(1),f(2)的值;

    (2)数列{an}{bn},若对任意的实数x都满足f(x)g(x)+anx+bn=xn+1,nN*,其中g(x)是定义在实数集R上的一个函数,求数列{an},{bn}的通项公式;

    (3)设圆Cn:(xan)2+(ybn)2=rn2,若圆Cn与圆Cn+1外切,{rn}是各项都是正数的等比数列.Sn是前n个圆的面积之和,求(nN*).

 

查看答案和解析>>

科目:高中数学 来源:数学教研室 题型:044

    已知二次函数f(x)=ax2+bx+c的图象的顶点坐标是(,),f(3)=2.

    (1)y=f(x)的表达式,并求出f(1),f(2)的值;

    (2)数列{an}{bn},若对任意的实数x都满足f(x)g(x)+anx+bn=xn+1,nN*,其中g(x)是定义在实数集R上的一个函数,求数列{an},{bn}的通项公式;

    (3)设圆Cn:(xan)2+(ybn)2=rn2,若圆Cn与圆Cn+1外切,{rn}是各项都是正数的等比数列.Sn是前n个圆的面积之和,求(nN*).

 

查看答案和解析>>

科目:高中数学 来源:天津 题型:解答题

设椭圆
x2
a2
+
y2
b2
=1(a>b>0)的左、右焦点分别为F1,F2.点P(a,b)满足|PF2|=|F1F2|.
(Ⅰ)求椭圆的离心率e;
(Ⅱ)设直线PF2与椭圆相交于A,B两点,若直线PF2与圆(x+1)2+(y-
3
)
2
=16相交于M,N两点,且|MN|=
5
8
|AB|,求椭圆的方程.

查看答案和解析>>

科目:高中数学 来源: 题型:

(本小题12分)

(1)直线经过点P(3,2),且在两坐标轴上的截距相等,求直线方程;

(2)设直线与圆(x-1)2+(y-2)2=4相交于A、B两点,且弦AB的长为2,求

查看答案和解析>>

同步练习册答案