精英家教网 > 高中数学 > 题目详情

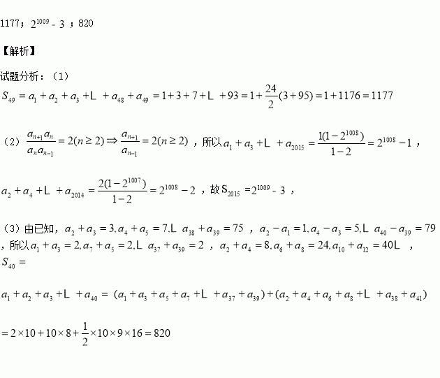
已知数列项的和为

,则=

,则=

,则

练习册系列答案
相关习题

科目:高中数学 来源:2016届安徽省等高三第三次联考文科数学卷(解析版) 题型:填空题

两个同底的正四棱锥内接于同一个球,两个四棱锥侧面与底面形成的角分别为,则的取值范围是

查看答案和解析>>

科目:高中数学 来源:2015-2016学年云南省高一上期中数学试卷(解析版) 题型:解答题

计算下列各题:

(1)

(2)

查看答案和解析>>

科目:高中数学 来源:2015-2016学年上海师大附中高二上期中数学试卷(解析版) 题型:选择题

如图所示是一个循环结构的算法,下列说法不正确的是( )

(A)①是循环变量初始化,循环就要开始

(B)②为循环体

(C)③是判断是否继续循环的终止条件

(D)输出的S值为2,4,6,8,10,12,14,16,18.

查看答案和解析>>

科目:高中数学 来源:2015-2016学年黑龙江齐齐哈尔实验中学高一上期中数学卷(解析版) 题型:填空题

若函数为偶函数,则

查看答案和解析>>

科目:高中数学 来源:2015-2016学年辽宁沈阳二中高二12月月考文科数学卷(解析版) 题型:填空题

已知函数f(x)的导函数为f ′(x)=5+cosx,x∈(-1,1),且f(0)=0,如果f(1-x)+f(1-x2)<0,则实数x的取值范围为________.

查看答案和解析>>

科目:高中数学 来源:2015-2016学年江苏省高一上期中数学试卷(解析版) 题型:填空题

三个数之间的大小关系是 (用a,b,c表示).

查看答案和解析>>

科目:高中数学 来源:2015-2016学年河南省高二12月月考文科数学卷(解析版) 题型:选择题

中,若则角B的大小为( )

A.30° B.45° C.135° D.45°或135°

查看答案和解析>>

科目:高中数学 来源:2015-2016学年山西省高二11月月考理科数学卷(解析版) 题型:选择题

满足不等式组,若的最大值为,最小值为,则实数的取值范围为( )

A. B. C. D.

查看答案和解析>>

同步练习册答案