精英家教网 > 高中数学 > 题目详情

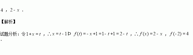
若函数,则

练习册系列答案
相关习题

科目:高中数学 来源:2016届浙江宁波效实中学高三上期中考试理科数学试卷(解析版) 题型:填空题

若指数函数的图象过点,则 ;不等式的解集为

查看答案和解析>>

科目:高中数学 来源:2015-2016学年甘肃省嘉峪关市高二上学期期中考试文科数学试卷(解析版) 题型:选择题

若a>b,,则下列命题中成立的是

A. B. C. D.

查看答案和解析>>

科目:高中数学 来源:2016届山东省高三第二次诊断性考试理科数学试卷(解析版) 题型:选择题

设集合,则等于

A. B.

C. D.

查看答案和解析>>

科目:高中数学 来源:2016届河南省原名校高三上学期第一次联考理科数学试卷(解析版) 题型:选择题

已知集合,从的映射满足,那么映射的个数为( )

A. B. C. D.

查看答案和解析>>

科目:高中数学 来源:2015-2016学年四川绵阳南山中学高二上期中文科数学试卷(解析版) 题型:解答题

(本小题满分为10分)

设等差数列的公差为,前项和为,等比数列的公比为.已知

(Ⅰ)求数列的通项公式;

(Ⅱ)当时,记,求数列的前项和

查看答案和解析>>

科目:高中数学 来源:2015-2016学年四川绵阳南山中学高二上期中文科数学试卷(解析版) 题型:选择题

经过点P(-2,1)且与抛物线有一个公共点的直线的条数为

A.1 B.2

C.3 D.4

查看答案和解析>>

科目:高中数学 来源:2015-2016学年广西桂林中学高二上期中考试文科数学试卷(解析版) 题型:选择题

(12分)已知数列是等差数列,成等比数列.

(Ⅰ)求数列的通项公式;

(Ⅱ)求数列的前n项和

查看答案和解析>>

科目:高中数学 来源:2015-2016学年江苏省泰兴市高二上学期期中考试数学试卷(解析版) 题型:填空题

抛物线的准线方程为,则焦点坐标是

查看答案和解析>>

同步练习册答案