精英家教网 > 高中数学 > 题目详情

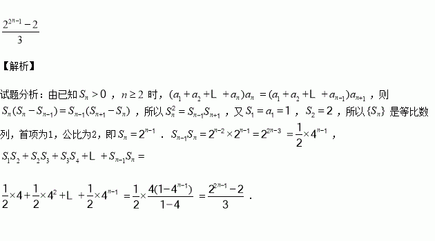
对数列项和为),,且对,则__________.

练习册系列答案
相关习题

科目:高中数学 来源:2015-2016学年宁夏石嘴山三中高二下期中文科数学试卷(解析版) 题型:解答题

已知函数

(1)若函数为偶函数,求 的值;

(2)若,求函数的单调递增区间.

查看答案和解析>>

科目:高中数学 来源:2015-2016学年河北邢台一中高二下期中文科数学试卷(解析版) 题型:选择题

已知变量x与y正相关,且由观测数据算得样本平均数x=3,y=3.5,则由该观测数据算得的线性回归方程可能是( )

A. B. C. D.

查看答案和解析>>

科目:高中数学 来源:2015-2016学年广东省高一下期中数学试卷(解析版) 题型:选择题

已知函数, 先将的图象上所有点的横坐标缩短到原来的倍(纵坐标不变),再将得到的图象上所有点向右平行移动)个单位长度,得到的图象关于直线x=对称, 则的最小值为( )

A. B. C. D.

查看答案和解析>>

科目:高中数学 来源:2015-2016学年重庆一中高一下学期期中数学试卷(解析版) 题型:解答题

已知函数是偶函数.

(1)求的值;

(2)若函数的图象与的图象有且只有一个公共点,求的取值范围.

查看答案和解析>>

科目:高中数学 来源:2015-2016学年重庆一中高一下学期期中数学试卷(解析版) 题型:选择题

的重心,,则( )

A. B.

C. D.

查看答案和解析>>

科目:高中数学 来源:2015-2016学年重庆一中高一下学期期中数学试卷(解析版) 题型:选择题

运行如下的程序框图,输出的值为( )

A.4 B.3 C.2 D.1

查看答案和解析>>

科目:高中数学 来源:2015-2016学年重庆巴蜀中学高二下期中文科数学试卷(解析版) 题型:选择题

在直角坐标系中,抛物线的焦点为,准线为,点是准线上任一点,直线交抛物线于两点,若,则的面积( )

A. B. C. D.

查看答案和解析>>

科目:高中数学 来源:2015-2016学年福建上杭一中高二下培优补差理科数学试卷(解析版) 题型:填空题

若偶函数,当,满足,且,则的解集是 .

查看答案和解析>>

同步练习册答案