精英家教网 > 高中数学 > 题目详情

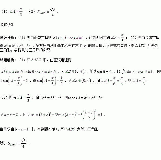
中,角所对的边分别为,且

(1)求

(2)若,当取最小值时,求的面积.

练习册系列答案
相关习题

科目:高中数学 来源:2016届宁夏高三模拟三文科数学试卷(解析版) 题型:选择题

复数是虚数单位)的虚部为( )

A. B. C.1 D. 2

查看答案和解析>>

科目:高中数学 来源:2015-2016学年福建师大附中高二下期末文科数学试卷(解析版) 题型:选择题

,则下列结论不正确的是

A. B. C. D.

查看答案和解析>>

科目:高中数学 来源:2015-2016学年吉林毓文中学高一上期末数学试卷(解析版) 题型:选择题

若一个圆锥的轴截面是边长为2的等边三角形,则这个圆锥的表面积是( )

A. B. C. D.

查看答案和解析>>

科目:高中数学 来源:2016届宁夏·海南高三三轮冲刺猜三理科数学试卷(解析版) 题型:解答题

选修4-1:几何证明选讲

如图,为圆的直径,为圆的切线,点为圆上不同于的一点,的平分线,且分别与交于,与圆交于,与交于,连接

(1)求证:平分

(2)求证:

查看答案和解析>>

科目:高中数学 来源:2016届宁夏·海南高三三轮冲刺猜三理科数学试卷(解析版) 题型:选择题

设函数,对任意给定的,都存在唯一的,满足,则正实数的最小值是( )

A. B. C.2 D.4

查看答案和解析>>

科目:高中数学 来源:2016届宁夏·海南高三三轮冲刺猜三理科数学试卷(解析版) 题型:选择题

已知,则( )

A. B. C. D.

查看答案和解析>>

科目:高中数学 来源:2015-2016学年西藏日喀则一中高二6月月考数学试卷(解析版) 题型:选择题

函数是( )

A.周期为的奇函数 B.周期为的偶函数

C.周期为的奇函数 D.周期为的偶函数

查看答案和解析>>

科目:高中数学 来源:2016届云南省高三下第八次月考文科数学试卷(解析版) 题型:选择题

已知公差不为0的等差数列满足成等比数列,为数列的前项和,则的值为( )

A. B. C. 2 D. 3

查看答案和解析>>

同步练习册答案