精英家教网 > 高中数学 > 题目详情

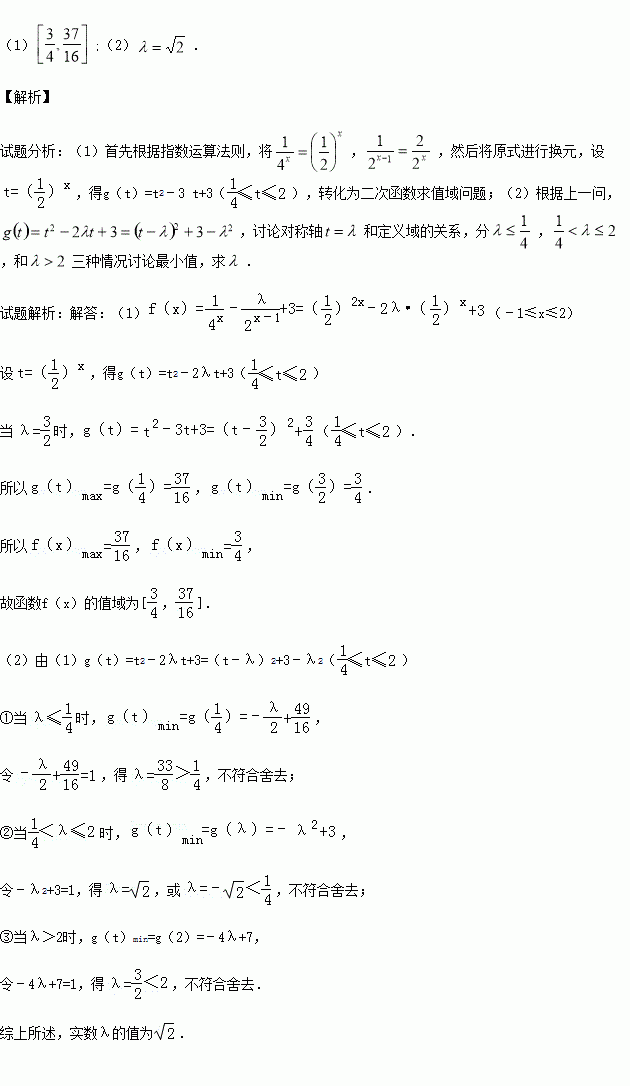
已知函数f(x)=+3(﹣1≤x≤2).

(1)若λ=时,求函数f(x)的值域;

(2)若函数f(x)的最小值是1,求实数λ的值.

练习册系列答案
相关习题

科目:高中数学 来源:2016届河北省邯郸市高三一轮收官考试一理科数学试卷(解析版) 题型:填空题

若函数上可导,,则

查看答案和解析>>

科目:高中数学 来源:2015-2016学年西藏日喀则一中高二12月文科数学试卷(解析版) 题型:选择题

有5件产品,其中3件正品,2件次品,从中任取2件,则互斥而不对立的两个事件是( )

A.至少有1件次品与至多有1件正品

B.至少有1件次品与都是正品

C.至少有1件次品与至少有1件正品

D.恰有1件次品与恰有2件正品

查看答案和解析>>

科目:高中数学 来源:2015-2016学年辽宁省高二上期中理科数学试卷(解析版) 题型:选择题

如果方程表示焦点在轴上的椭圆,则的取值范围是 ( )

A. B.

C. D.

查看答案和解析>>

科目:高中数学 来源:2015-2016学年江西省高一重点上期中数学卷(解析版) 题型:解答题

已知A={x|-1<x≤3},B={x|m≤x<1+3m}.

(1)当m=1时,求A∪B;

(2)若,求实数m的取值范围.

查看答案和解析>>

科目:高中数学 来源:2015-2016学年江西省高一创新上期中数学卷(解析版) 题型:选择题

下列给出的同组函数中,表示同一函数的是( )

A.(1)、 (2) B.(2) C.(1)、(3) D.(3)

查看答案和解析>>

科目:高中数学 来源:2015-2016学年江西省高二上期中理科数学卷(解析版) 题型:解答题

函数的值域为恒成立,若为假,为真,求实数的取值范围。

查看答案和解析>>

科目:高中数学 来源:2015-2016学年黑龙江省高一上期末数学试卷(解析版) 题型:解答题

已知函数

(Ⅰ)求函数定义域和值域;

(Ⅱ)若函数与函数定义域相同,求函数的值域.

查看答案和解析>>

科目:高中数学 来源:2015-2016学年四川省高一上期中数学试卷(解析版) 题型:选择题

函数的定义域为( )

A. B. C. D.

查看答案和解析>>

同步练习册答案