精英家教网 > 高中数学 > 题目详情

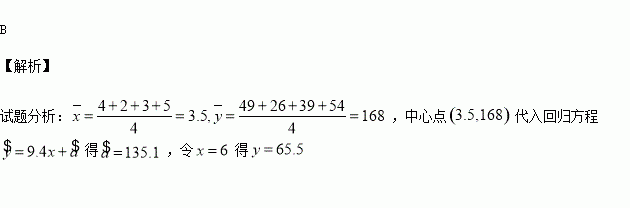
某产品的广告费用x与销售额y的统计数据如上表根据上表可得回归方程中的为9.4,据此模型预报广告费用为6万元时销售额为( ).

A.63.6万元 B.65.5万元 C.67.7万元 D.72.0万元

练习册系列答案
相关习题

科目:高中数学 来源:2016届黑龙江省高三第一阶段考试理科数学试卷(解析版) 题型:解答题

(本小题满分12分)设函数 (k为常数,e=2.718 28…是自然对数的底数).

(1)当时,求函数f(x)的单调区间;

(2)若函数在(0,2)内存在两个极值点,求k的取值范围.

查看答案和解析>>

科目:高中数学 来源:2016届山东省乳山市高三10月月考理科数学试卷(解析版) 题型:填空题

=

查看答案和解析>>

科目:高中数学 来源:2015-2016学年河北省高一10月月考数学试卷(解析版) 题型:选择题

函数f(x)=-x2+2(a-1)x+2在(-∞,4)上是增函数,则a的范围是( )

A.a≥5 B.a≥3 C.a≤3 D.a≤-5

查看答案和解析>>

科目:高中数学 来源:2015-2016学年河北省高二上学期第二次月考文数学试卷(解析版) 题型:选择题

从伦敦奥运会的一张贵宾票和两张普通票中随机抽取一张,抽到贵宾票的概率是( )

A. B. C. D.

查看答案和解析>>

科目:高中数学 来源:2015-2016学年广西钦州港开发区中学高二上第一次月考文科数学试卷(解析版) 题型:选择题

为了得到函数的图象,可以将函数的图象( )

A.向右平移个单位

B.向左平移个单位

C.向右平移个单位

D.向左平移个单位

查看答案和解析>>

科目:高中数学 来源:2015-2016学年广西钦州港开发区中学高二上第一次月考理科数学试卷(解析版) 题型:选择题

下列命题中正确命题的个数是( )

①若,

②若

③若

④若

A.0 B.1 C.2 D.3

查看答案和解析>>

科目:高中数学 来源:2015-2016学年福建省四地六校高一上学期10月第一次联考数学试卷(解析版) 题型:解答题

(本小题满分12分)

设集合

(1)当时,求A的非空真子集的个数;

(2)若B=,求m的取值范围;

(3)若,求m的取值范围.

查看答案和解析>>

科目:高中数学 来源:2015-2016学年广东省高二9月阶段测试文科数学试卷(解析版) 题型:选择题

中,若,则( )

A. B. C. D.

查看答案和解析>>

同步练习册答案