精英家教网 > 高中数学 > 题目详情

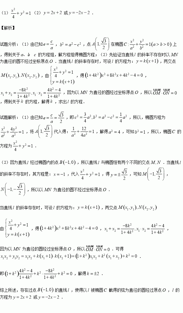
已知椭圆经过点,且离心率.

(1)求椭圆的方程;

(2)过点能否作出直线,使与椭圆交于两点,且以为直径的圆经过坐标原点?若存在,求出直线的方程;若不存在,说明理由.

练习册系列答案
相关习题

科目:高中数学 来源:2016届安徽省高三第九次月考文科数学试卷(解析版) 题型:选择题

已知两个不同的平面和两个不重合的直线,则下列四个命题中不正确的是( )

A.若 ,则

B.若,则

C.若,则

D.若 ,则

查看答案和解析>>

科目:高中数学 来源:2015-2016学年河北武邑中学高二下4.17周考文数学卷(解析版) 题型:选择题

,则成立的 ( )

A.充分不必要条件 B.必要不充分条件

C.充要条件 D.既不充分也不必要条件

查看答案和解析>>

科目:高中数学 来源:2015-2016学年河北武邑中学高二下4.17周考理数学卷(解析版) 题型:选择题

已知函数,对于,若,满足,则的取值范围是( )

A. B.

C. D.

查看答案和解析>>

科目:高中数学 来源:2015-2016学年河北武邑中学高二下4.17周考理数学卷(解析版) 题型:选择题

焦点在轴上的双曲线的一条渐近线方程是,此双曲线的离心率为( )

A. B. C. D.

查看答案和解析>>

科目:高中数学 来源:2015-2016学年北大附中河南分校高一宏志班下期中数学卷(解析版) 题型:填空题

已知线段的两个端点分别为为线段上不与端点重合的一个动点,则的最小值为________.

查看答案和解析>>

科目:高中数学 来源:2015-2016学年北大附中河南分校高一宏志班下期中数学卷(解析版) 题型:选择题

已知点,椭圆与直线交于点,则的周长为( )

A.8 B.10 C.12 D.16

查看答案和解析>>

科目:高中数学 来源:2015-2016学年西藏日喀则一中高二4月月考文数学卷(解析版) 题型:填空题

定义“等和数列”:在一个数列中,如果每一项与它的后一项的和都为同一个常数,那么这个数列叫做等和数列,且,公和为5,那么的值为_____________.

查看答案和解析>>

科目:高中数学 来源:2015-2016学年湖南长郡中学高二水平模拟理科数学卷(解析版) 题型:填空题

直线和直线平行,则

查看答案和解析>>

同步练习册答案